ggpedigree provides modern tools for visualizing family
trees and pedigree structures using both ggplot2 and
plotly. Specifically, it enables the creation of static and
interactive pedigree plots that can accommodate complex family
relationships, including duplicated individuals and various mating
structures.
The package complements the behavior genetics toolkit
BGmisc [Garrison et al. (2024) doi:10.21105/joss.06203]
for tasks such as pedigree validation and computing relatedness
matrices. Core plotting functions (ggPedigree(),
ggPedigreeInteractive(),
calculateCoordinates()) work on any rectangular pedigree
and ship with built-in example data, while relatedness workflows reuse
matrix builders from BGmisc. Due to the impending
deprecation of kinship2, version 1.0 incorporates the
layout helper functions from kinship2. The pedigree alignment algorithms
are adapted from ‘kinship2’ [Sinnwell et al. (2014) doi:10.1159/000363105]. We
gratefully acknowledge the original authors: Jason Sinnwell, Terry
Therneau, Daniel Schaid, and Elizabeth Atkinson for their foundational
work.
See the package vignettes for end-to-end tutorials, including relatedness matrices and interactive plots.
You can install the released version of ggpedigree from CRAN with:
install.packages("ggpedigree")To install the development version of ggpedigree from GitHub use:
# install.packages("pak")
pak::pkg_install("R-Computing-Lab/ggpedigree")Here is a basic example of how to use ggpedigree to
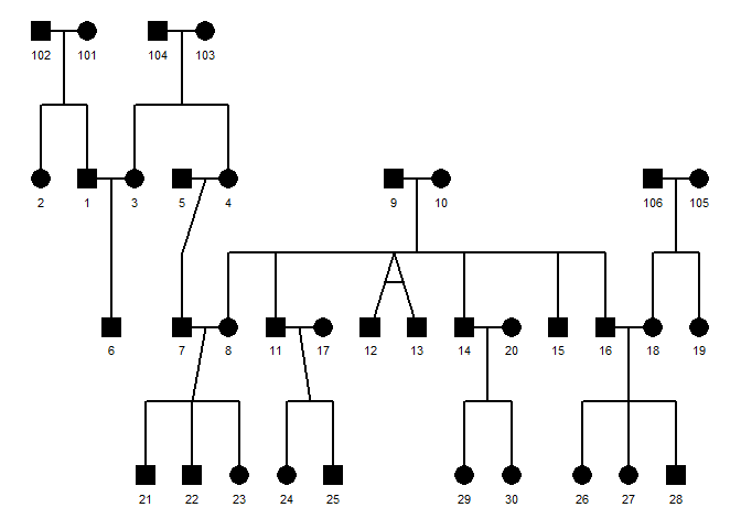
visualize a pedigree structure. The potter dataset contains
simulated pedigree data for the Weasley family from the Harry Potter
series.
library(ggpedigree) # ggPedigree lives here
library(BGmisc) # helper utilities & example data
potter <- BGmisc::potter # load example data
ggPedigree(potter,
famID = "famID",
personID = "personID"
)
ggPedigree(potter,
famID = "famID",
personID = "personID",
config = list(
color_theme = "greyscale"
)
)
If you use ggpedigree in your research or wish to refer to it, please cite the following:
citation(package = "ggpedigree")
Garrison, S. Mason (2026). “ggpedigree: Visualizing Pedigrees with ‘ggplot2’ and ‘plotly’.” Journal of Open Source Software, 11(9434). doi:10.21105/joss.09434 https://doi.org/10.21105/joss.09434. https://joss.theoj.org/papers/10.21105/joss.09434.
A BibTeX entry for LaTeX users is
@Article{ggpedigree,
title = {ggpedigree: Visualizing Pedigrees with 'ggplot2' and 'plotly'},
author = {{Garrison, S. Mason}},
journal = {Journal of Open Source Software},
year = {2026},
volume = {11},
number = {9434},
doi = {10.21105/joss.09434},
url = {https://joss.theoj.org/papers/10.21105/joss.09434},
}
Contributions to the ggpedigree project are welcome. For guidelines on how to contribute, please refer to the Contributing Guidelines. Issues and pull requests should be submitted on the GitHub repository. For support, please use the GitHub issues page.
The development of ggpedigree follows a GitFlow branching strategy:
dev branch is
the main development branch where all feature branches are merged. This
branch contains the latest changes and is used for testing and
development purposes.main): The main branch
mirrors the stable state of the project as seen on CRAN. Only fully
tested and approved changes from the dev branch are merged into main to
prepare for a new release.ggpedigree is licensed under the GNU General Public License v3.0. For more details, see the LICENSE.md file.