|
bpp-phyl3 3.0.0
|
The Kimura 2-rates substitution model for nucleotides. More...
#include <Bpp/Phyl/Model/Nucleotide/K80.h>
Inheritance diagram for bpp::K80:
Collaboration diagram for bpp::K80:Public Member Functions | |
| K80 (std::shared_ptr< const NucleicAlphabet > alpha, double kappa=1.) | |
| virtual | ~K80 () |
| K80 * | clone () const override |
| double | Pij_t (size_t i, size_t j, double d) const override |
| double | dPij_dt (size_t i, size_t j, double d) const override |
| double | d2Pij_dt2 (size_t i, size_t j, double d) const override |
| const Matrix< double > & | getPij_t (double d) const override |
| const Matrix< double > & | getdPij_dt (double d) const override |
| const Matrix< double > & | getd2Pij_dt2 (double d) const override |
| std::string | getName () const override |
| Get the name of the model. More... | |
| void | setFreqFromData (const SequenceDataInterface &data, double pseudoCount=0) override |
| This method is disabled in this model since frequencies are not free parameters. More... | |
| std::shared_ptr< const NucleicAlphabet > | getNucleicAlphabet () const override |
| bool | computeFrequencies () const |
| void | computeFrequencies (bool yn) |
| Set if equilibrium frequencies should be computed. More... | |
| const Matrix< double > & | generator () const |
| const Matrix< double > & | exchangeabilityMatrix () const |
| double | Sij (size_t i, size_t j) const |
| const Vdouble & | getEigenValues () const |
| const Vdouble & | getIEigenValues () const |
| bool | isDiagonalizable () const |
| bool | isNonSingular () const |
| const Matrix< double > & | getRowLeftEigenVectors () const |
| const Matrix< double > & | getColumnRightEigenVectors () const |
| virtual double | Qij (size_t i, size_t j) const |
| A method for computing all necessary matrices. More... | |
| void | enableEigenDecomposition (bool yn) |
| Set if eigenValues and Vectors must be computed. More... | |
| bool | enableEigenDecomposition () |
| Tell if eigenValues and Vectors must be computed. More... | |
| void | setScalable (bool scalable) |
| sets if model is scalable, ie scale can be changed. Default : true, set to false to avoid normalization for example. More... | |
| virtual bool | isScalable () const |
| returns if model is scalable More... | |
| double | getScale () const |
| return scale More... | |
| void | setScale (double scale) |
| Multiplies the current generator by the given scale. More... | |
| void | normalize () |
| normalize the generator More... | |
| void | setDiagonal () |
| set the diagonal of the generator such that sum on each line equals 0. More... | |
| const Alphabet & | alphabet () const override |
| std::shared_ptr< const Alphabet > | getAlphabet () const override |
| const StateMapInterface & | stateMap () const override |
| std::shared_ptr< const StateMapInterface > | getStateMap () const override |
| size_t | getNumberOfStates () const override |
| Get the number of states. More... | |
| const std::vector< int > & | getAlphabetStates () const override |
| std::string | getAlphabetStateAsChar (size_t index) const override |
| int | getAlphabetStateAsInt (size_t index) const override |
| std::vector< size_t > | getModelStates (int code) const override |
| Get the state in the model corresponding to a particular state in the alphabet. More... | |
| std::vector< size_t > | getModelStates (const std::string &code) const override |
| Get the state in the model corresponding to a particular state in the alphabet. More... | |
| const Vdouble & | getFrequencies () const override |
| virtual double | freq (size_t i) const override |
| double | getInitValue (size_t i, int state) const override |
| virtual void | setFreq (std::map< int, double > &freqs) override |
| Set equilibrium frequencies. More... | |
| const FrequencySetInterface & | frequencySet () const override |
| virtual void | fireParameterChanged (const ParameterList ¶meters) override |
| Tells the model that a parameter value has changed. More... | |
| void | addRateParameter () override |
| add a "rate" parameter to the model, that handles the overall rate of the process. More... | |
| void | setVerboseLevel (short level) |
| short | verboseLevel () const |
| virtual double | getRate () const override |
| The rate of the substitution process. More... | |
| virtual void | setRate (double rate) override |
| Set the rate of the model (must be positive). More... | |
| const Eigen::VectorXd & | Lik_t (const Eigen::VectorXd &values, double t) const override |
| const Eigen::VectorXd & | dLik_dt (const Eigen::VectorXd &values, double t) const override |
| const Eigen::VectorXd & | d2Lik_dt2 (const Eigen::VectorXd &values, double t) const override |
| virtual size_t | getNumberOfIndependentParameters () const=0 |
| size_t | getNumberOfIndependentParameters () const |
| virtual void | aliasParameters (const std::string &p1, const std::string &p2)=0 |
| virtual void | aliasParameters (std::map< std::string, std::string > &unparsedParams, bool verbose)=0 |
| void | aliasParameters (const std::string &p1, const std::string &p2) |
| void | aliasParameters (std::map< std::string, std::string > &unparsedParams, bool verbose) |
| virtual void | unaliasParameters (const std::string &p1, const std::string &p2)=0 |
| void | unaliasParameters (const std::string &p1, const std::string &p2) |
| virtual const ParameterList & | getIndependentParameters () const=0 |
| const ParameterList & | getIndependentParameters () const |
| virtual std::vector< std::string > | getAlias (const std::string &name) const=0 |
| virtual std::vector< std::string > | getAlias (const std::string &name) const |
| virtual std::map< std::string, std::string > | getAliases () const=0 |
| virtual std::map< std::string, std::string > | getAliases () const |
| virtual bool | hasParameter (const std::string &name) const=0 |
| bool | hasParameter (const std::string &name) const override |
| virtual const ParameterList & | getParameters () const=0 |
| const ParameterList & | getParameters () const override |
| virtual const Parameter & | parameter (const std::string &name) const=0 |
| const Parameter & | parameter (const std::string &name) const override |
| virtual double | getParameterValue (const std::string &name) const=0 |
| double | getParameterValue (const std::string &name) const override |
| virtual void | setAllParametersValues (const ParameterList ¶meters)=0 |
| void | setAllParametersValues (const ParameterList ¶meters) override |
| virtual void | setParameterValue (const std::string &name, double value)=0 |
| void | setParameterValue (const std::string &name, double value) override |
| virtual void | setParametersValues (const ParameterList ¶meters)=0 |
| void | setParametersValues (const ParameterList ¶meters) override |
| virtual bool | matchParametersValues (const ParameterList ¶meters)=0 |
| bool | matchParametersValues (const ParameterList ¶meters) override |
| virtual void | removeConstraint (const std::string &name)=0 |
| void | removeConstraint (const std::string &name) override |
| virtual void | setConstraint (const std::string &name, std::shared_ptr< ConstraintInterface > constraint)=0 |
| void | setConstraint (const std::string &name, std::shared_ptr< ConstraintInterface > constraint) override |
| virtual size_t | getNumberOfParameters () const=0 |
| size_t | getNumberOfParameters () const override |
| virtual void | setNamespace (const std::string &prefix)=0 |
| void | setNamespace (const std::string &prefix) |
| virtual std::string | getNamespace () const=0 |
| std::string | getNamespace () const override |
| virtual std::string | getParameterNameWithoutNamespace (const std::string &name) const=0 |
| std::string | getParameterNameWithoutNamespace (const std::string &name) const override |
| bool | hasIndependentParameter (const std::string &name) const |
| ParameterList | getAliasedParameters (const ParameterList &pl) const |
| ParameterList | getFromParameters (const ParameterList &pl) const |
| std::string | getFrom (const std::string &name) const |
| const std::shared_ptr< Parameter > & | getParameter (const std::string &name) const |
Protected Member Functions | |
| void | updateMatrices_ () override |
| Compute and diagonalize the | |
| Vdouble & | getFrequencies_ () override |
| virtual ParameterList & | getParameters_ ()=0 |
| ParameterList & | getParameters_ () override |
| const std::shared_ptr< Parameter > & | getParameter (size_t i) const |
| std::shared_ptr< Parameter > & | getParameter (size_t i) |
| void | addParameter_ (Parameter *parameter) |
| void | addParameters_ (const ParameterList ¶meters) |
| void | shareParameter_ (const std::shared_ptr< Parameter > ¶meter) |
| void | shareParameters_ (const ParameterList ¶meters) |
| void | includeParameters_ (const ParameterList ¶meters) |
| void | deleteParameter_ (size_t index) |
| void | deleteParameter_ (std::string &name) |
| void | deleteParameters_ (const std::vector< std::string > &names) |
| void | resetParameters_ () |
| Parameter & | getParameter_ (const std::string &name) |
| Parameter & | getParameter_ (size_t index) |
| const Parameter & | getParameter_ (size_t index) const |
| Parameter & | getParameterWithNamespace_ (const std::string &name) |
| const Parameter & | getParameterWithNamespace_ (const std::string &name) const |
Protected Attributes | |
| bool | isScalable_ |
| If the model is scalable (ie generator can be normalized automatically). More... | |
| RowMatrix< double > | generator_ |
| The generator matrix | |
| bool | computeFreq_ |
| if the Frequencies must be computed from the generator More... | |
| RowMatrix< double > | exchangeability_ |
| The exchangeability matrix | |
| bool | eigenDecompose_ |
| Tell if the eigen decomposition should be performed. More... | |
| Vdouble | eigenValues_ |
| The vector of eigen values. More... | |
| Vdouble | iEigenValues_ |
| The vector of the imaginary part of the eigen values. More... | |
| bool | isDiagonalizable_ |
| boolean value for diagonalizability in R of the generator_ More... | |
| RowMatrix< double > | rightEigenVectors_ |
| The | |
| bool | isNonSingular_ |
| boolean value for non-singularity of rightEigenVectors_ More... | |
| RowMatrix< double > | leftEigenVectors_ |
| The | |
| std::vector< RowMatrix< double > > | vPowGen_ |
| vector of the powers of generator_ for Taylor development (if rightEigenVectors_ is singular). More... | |
| RowMatrix< double > | tmpMat_ |
| For computational issues. More... | |
| std::shared_ptr< const Alphabet > | alphabet_ |
| The alphabet relevant to this model. More... | |
| std::shared_ptr< const StateMapInterface > | stateMap_ |
| The map of model states with alphabet states. More... | |
| size_t | size_ |
| The number of states. More... | |
| double | rate_ |
| The rate of the model (default: 1). The generator (and all its vectorial components) is independent of the rate, since it should be normalized. More... | |
| Vdouble | freq_ |
| The vector | |
| RowMatrix< double > | pijt_ |
| These ones are for bookkeeping: More... | |
| RowMatrix< double > | dpijt_ |
| RowMatrix< double > | d2pijt_ |
| short | verboseLevel_ |
Private Attributes | |
| double | kappa_ |
| double | r_ |
| double | l_ |
| double | k_ |
| double | exp1_ |
| double | exp2_ |
| RowMatrix< double > | p_ |
| Eigen::VectorXd | lik_ |
| ParameterList | independentParameters_ |
| std::map< std::string, std::shared_ptr< AliasParameterListener > > | aliasListenersRegister_ |
| ParameterList | parameters_ |
| std::string | prefix_ |
The Kimura 2-rates substitution model for nucleotides.
All two rates: one for transitions and one for transversions. This models include one parameter, the transition / transversion relative rate
.
Normalization:
is set so that
:
The normalized generator is obtained by taking the dot product of
and
:
The eigen values are
, the left eigen vectors are, by row:
and the right eigen vectors are, by column:
In addition, a rate_ factor defines the mean rate of the model.
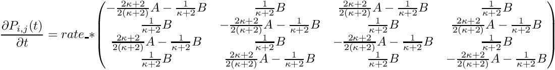
The probabilities of changes are computed analytically using the formulas:
with
and
.
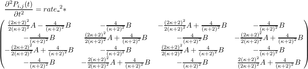
First and second order derivatives are also computed analytically using the formulas:
The parameter is named "kappa" and its value may be retrieve with the command
Reference:
| K80::K80 | ( | std::shared_ptr< const NucleicAlphabet > | alpha, |
| double | kappa = 1. |
||
| ) |
Definition at line 18 of file K80.cpp.
References bpp::AbstractParameterAliasable::addParameter_(), bpp::Parameter::R_PLUS_STAR, and updateMatrices_().
Referenced by clone().
|
overridevirtualinherited |
add a "rate" parameter to the model, that handles the overall rate of the process.
Implements bpp::BranchModelInterface.
Reimplemented in bpp::RegisterRatesSubstitutionModel.
Definition at line 63 of file AbstractSubstitutionModel.cpp.
References bpp::AbstractParameterAliasable::addParameter_(), bpp::AbstractParameterAliasable::getNamespace(), bpp::Parameter::R_PLUS_STAR, and bpp::AbstractTransitionModel::rate_.
|
inlineoverridevirtualinherited |
Implements bpp::BranchModelInterface.
Reimplemented in bpp::RegisterRatesSubstitutionModel.
Definition at line 167 of file AbstractSubstitutionModel.h.
References bpp::AbstractTransitionModel::alphabet_.
Referenced by bpp::AbstractWordSubstitutionModel::AbstractWordSubstitutionModel(), and bpp::AbstractWordSubstitutionModel::operator=().
|
inlineoverridevirtual |
Implements bpp::AbstractReversibleNucleotideSubstitutionModel.
Definition at line 127 of file K80.h.
References K80().
|
inlinevirtualinherited |
Reimplemented from bpp::AbstractTransitionModel.
Definition at line 404 of file AbstractSubstitutionModel.h.
References bpp::AbstractSubstitutionModel::computeFreq_.
Referenced by bpp::CodonAdHocSubstitutionModel::CodonAdHocSubstitutionModel(), bpp::CodonDistanceFrequenciesSubstitutionModel::CodonDistanceFrequenciesSubstitutionModel(), bpp::CodonDistancePhaseFrequenciesSubstitutionModel::CodonDistancePhaseFrequenciesSubstitutionModel(), bpp::CodonDistanceSubstitutionModel::CodonDistanceSubstitutionModel(), bpp::D1WalkSubstitutionModel::D1WalkSubstitutionModel(), bpp::F81::F81(), bpp::gBGC::gBGC(), bpp::KroneckerCodonDistanceFrequenciesSubstitutionModel::KroneckerCodonDistanceFrequenciesSubstitutionModel(), bpp::KroneckerCodonDistanceSubstitutionModel::KroneckerCodonDistanceSubstitutionModel(), bpp::L95::L95(), bpp::POMO::POMO(), bpp::RN95::RN95(), bpp::RN95s::RN95s(), bpp::AbstractSubstitutionModel::updateMatrices_(), bpp::AbstractWordSubstitutionModel::updateMatrices_(), bpp::WordSubstitutionModel::WordSubstitutionModel(), and bpp::YpR::YpR().
|
inlinevirtualinherited |
Set if equilibrium frequencies should be computed.
Implements bpp::TransitionModelInterface.
Definition at line 406 of file AbstractSubstitutionModel.h.
References bpp::AbstractSubstitutionModel::computeFreq_.
|
inlineoverridevirtualinherited |
Implements bpp::TransitionModelInterface.
Definition at line 64 of file AbstractSubstitutionModel.h.
References bpp::TransitionModelInterface::getd2Pij_dt2(), and bpp::AbstractLkTransitionModel::lik_.
|
overridevirtual |
Reimplemented from bpp::AbstractTransitionModel.
Definition at line 209 of file K80.cpp.
References bpp::exp(), exp1_, exp2_, k_, l_, r_, and bpp::AbstractTransitionModel::rate_.
|
inlineoverridevirtualinherited |
Implements bpp::TransitionModelInterface.
Definition at line 47 of file AbstractSubstitutionModel.h.
References bpp::TransitionModelInterface::getdPij_dt(), and bpp::AbstractLkTransitionModel::lik_.
|
overridevirtual |
Reimplemented from bpp::AbstractTransitionModel.
Definition at line 159 of file K80.cpp.
References bpp::exp(), exp1_, exp2_, k_, l_, r_, and bpp::AbstractTransitionModel::rate_.
|
inlinevirtualinherited |
Tell if eigenValues and Vectors must be computed.
Implements bpp::SubstitutionModelInterface.
Definition at line 434 of file AbstractSubstitutionModel.h.
References bpp::AbstractSubstitutionModel::eigenDecompose_.
Referenced by bpp::AbstractCodonSubstitutionModel::AbstractCodonSubstitutionModel(), bpp::AbstractDFPSubstitutionModel::AbstractDFPSubstitutionModel(), bpp::AbstractKroneckerWordSubstitutionModel::AbstractKroneckerWordSubstitutionModel(), bpp::KroneckerWordSubstitutionModel::KroneckerWordSubstitutionModel(), bpp::AbstractSubstitutionModel::updateMatrices_(), bpp::AbstractWordSubstitutionModel::updateMatrices_(), bpp::gBGC::updateMatrices_(), and bpp::WordSubstitutionModel::WordSubstitutionModel().
|
inlinevirtualinherited |
Set if eigenValues and Vectors must be computed.
Implements bpp::SubstitutionModelInterface.
Definition at line 432 of file AbstractSubstitutionModel.h.
References bpp::AbstractSubstitutionModel::eigenDecompose_.
|
inlinevirtualinherited |
Implements bpp::SubstitutionModelInterface.
Definition at line 410 of file AbstractSubstitutionModel.h.
References bpp::AbstractSubstitutionModel::exchangeability_.
|
inlineoverridevirtualinherited |
Tells the model that a parameter value has changed.
This updates the matrices consequently.
Reimplemented from bpp::AbstractParameterAliasable.
Reimplemented in bpp::gBGC, bpp::CodonDistanceSubstitutionModel, bpp::CodonAdHocSubstitutionModel, bpp::CodonDistanceFrequenciesSubstitutionModel, bpp::CodonDistancePhaseFrequenciesSubstitutionModel, bpp::DFPDistanceFrequenciesSubstitutionModel, bpp::KroneckerCodonDistanceFrequenciesSubstitutionModel, bpp::KroneckerCodonDistanceSubstitutionModel, bpp::SENCA, bpp::AbstractDFPSubstitutionModel, bpp::CodonSameAARateSubstitutionModel, bpp::D1WalkSubstitutionModel, bpp::EquiprobableSubstitutionModel, bpp::YpR, bpp::POMO, bpp::DSO78, bpp::JCprot, bpp::JTT92, bpp::LG08, bpp::UserProteinSubstitutionModel, bpp::WAG01, bpp::RE08, and bpp::RegisterRatesSubstitutionModel.
Definition at line 217 of file AbstractSubstitutionModel.h.
References bpp::AbstractParameterAliasable::fireParameterChanged(), bpp::AbstractParameterAliasable::getNamespace(), bpp::ParameterList::getParameterValue(), bpp::ParameterList::hasParameter(), bpp::AbstractTransitionModel::rate_, bpp::ParameterList::size(), and bpp::AbstractTransitionModel::updateMatrices_().
Referenced by bpp::gBGC::fireParameterChanged(), bpp::CodonDistanceSubstitutionModel::fireParameterChanged(), bpp::CodonAdHocSubstitutionModel::fireParameterChanged(), bpp::CodonDistanceFrequenciesSubstitutionModel::fireParameterChanged(), bpp::CodonDistancePhaseFrequenciesSubstitutionModel::fireParameterChanged(), bpp::KroneckerCodonDistanceFrequenciesSubstitutionModel::fireParameterChanged(), bpp::KroneckerCodonDistanceSubstitutionModel::fireParameterChanged(), bpp::SENCA::fireParameterChanged(), bpp::D1WalkSubstitutionModel::fireParameterChanged(), bpp::EquiprobableSubstitutionModel::fireParameterChanged(), bpp::YpR::fireParameterChanged(), bpp::DSO78::fireParameterChanged(), bpp::JCprot::fireParameterChanged(), bpp::JTT92::fireParameterChanged(), bpp::LG08::fireParameterChanged(), bpp::UserProteinSubstitutionModel::fireParameterChanged(), and bpp::WAG01::fireParameterChanged().
|
inlineoverridevirtualinherited |
Implements bpp::TransitionModelInterface.
Definition at line 195 of file AbstractSubstitutionModel.h.
References bpp::AbstractTransitionModel::freq_.
Referenced by bpp::CodonSameAARateSubstitutionModel::compute_().
|
inlineoverridevirtualinherited |
| Exception | if no FrequenceSet is associated to this model. |
Implements bpp::BranchModelInterface.
Reimplemented in bpp::CodonDistancePhaseFrequenciesSubstitutionModel, bpp::CodonDistanceFrequenciesSubstitutionModel, bpp::D1WalkSubstitutionModel, bpp::EquiprobableSubstitutionModel, bpp::DSO78, bpp::JCprot, bpp::JTT92, bpp::LG08, bpp::UserProteinSubstitutionModel, bpp::WAG01, and bpp::RegisterRatesSubstitutionModel.
Definition at line 207 of file AbstractSubstitutionModel.h.
|
inlinevirtualinherited |
See Kosiol and Goldman (2005), Molecular Biology And Evolution 22(2) 193-9.
Implements bpp::SubstitutionModelInterface.
Definition at line 408 of file AbstractSubstitutionModel.h.
References bpp::AbstractSubstitutionModel::generator_.
Referenced by bpp::AbstractKroneckerWordSubstitutionModel::fillBasicGenerator_().
|
inlineoverridevirtualinherited |
Implements bpp::BranchModelInterface.
Reimplemented in bpp::RegisterRatesSubstitutionModel.
Definition at line 169 of file AbstractSubstitutionModel.h.
References bpp::AbstractTransitionModel::alphabet_.
Referenced by bpp::AbstractWordSubstitutionModel::AbstractWordSubstitutionModel(), bpp::WordSubstitutionModel::completeMatrices_(), and bpp::RE08::getInitValue().
|
inlineoverridevirtualinherited |
| index | The model state. |
Implements bpp::BranchModelInterface.
Reimplemented in bpp::RegisterRatesSubstitutionModel.
Definition at line 179 of file AbstractSubstitutionModel.h.
References bpp::AbstractTransitionModel::stateMap_.
|
inlineoverridevirtualinherited |
| index | The model state. |
Implements bpp::BranchModelInterface.
Reimplemented in bpp::RegisterRatesSubstitutionModel.
Definition at line 181 of file AbstractSubstitutionModel.h.
References bpp::AbstractTransitionModel::stateMap_.
Referenced by bpp::AbstractCodonSubstitutionModel::completeMatrices_(), and bpp::AbstractTransitionModel::getInitValue().
|
inlineoverridevirtualinherited |
Implements bpp::BranchModelInterface.
Reimplemented in bpp::RegisterRatesSubstitutionModel.
Definition at line 177 of file AbstractSubstitutionModel.h.
References bpp::AbstractTransitionModel::stateMap_.
Referenced by bpp::DFP07::DFP07(), bpp::YNGP_M3::YNGP_M3(), and bpp::YNGP_M8::YNGP_M8().
|
inlinevirtualinherited |
Implements bpp::SubstitutionModelInterface.
Definition at line 428 of file AbstractSubstitutionModel.h.
References bpp::AbstractSubstitutionModel::rightEigenVectors_.
|
overridevirtual |
Reimplemented from bpp::AbstractSubstitutionModel.
Definition at line 327 of file K80.cpp.
References bpp::exp(), exp1_, exp2_, k_, l_, p_, r_, and bpp::AbstractTransitionModel::rate_.
|
overridevirtual |
Reimplemented from bpp::AbstractSubstitutionModel.
Definition at line 295 of file K80.cpp.
References bpp::exp(), exp1_, exp2_, k_, l_, p_, r_, and bpp::AbstractTransitionModel::rate_.
|
inlinevirtualinherited |
Implements bpp::SubstitutionModelInterface.
Definition at line 418 of file AbstractSubstitutionModel.h.
References bpp::AbstractSubstitutionModel::eigenValues_.
|
inlineoverridevirtualinherited |
Implements bpp::TransitionModelInterface.
Definition at line 187 of file AbstractSubstitutionModel.h.
References bpp::AbstractTransitionModel::freq_.
Referenced by bpp::SENCA::setFreq().
|
inlineoverrideprotectedvirtualinherited |
Implements bpp::TransitionModelInterface.
Definition at line 268 of file AbstractSubstitutionModel.h.
References bpp::AbstractTransitionModel::freq_.
Referenced by bpp::CodonDistanceFrequenciesSubstitutionModel::fireParameterChanged(), bpp::CodonDistancePhaseFrequenciesSubstitutionModel::fireParameterChanged(), bpp::CodonDistanceFrequenciesSubstitutionModel::setFreq(), bpp::CodonDistancePhaseFrequenciesSubstitutionModel::setFreq(), and bpp::DFPDistanceFrequenciesSubstitutionModel::setFreq().
|
inlinevirtualinherited |
Implements bpp::SubstitutionModelInterface.
Definition at line 420 of file AbstractSubstitutionModel.h.
References bpp::AbstractSubstitutionModel::iEigenValues_.
|
overridevirtualinherited |
This method is used to initialize likelihoods in recursions. It typically sends 1 if i = state, 0 otherwise, where i is one of the possible states of the alphabet allowed in the model and state is the observed state in the considered sequence/site.
| i | the index of the state in the model. |
| state | An observed state in the sequence/site. |
| IndexOutOfBoundsException | if array position is out of range. |
| BadIntException | if states are not allowed in the associated alphabet. |
Implements bpp::BranchModelInterface.
Reimplemented in bpp::RE08.
Definition at line 70 of file AbstractSubstitutionModel.cpp.
References bpp::AbstractTransitionModel::alphabet_, bpp::AbstractTransitionModel::getAlphabetStateAsInt(), and bpp::AbstractTransitionModel::size_.
|
inlineoverridevirtualinherited |
Get the state in the model corresponding to a particular state in the alphabet.
| code | The alphabet state to check. |
Implements bpp::BranchModelInterface.
Reimplemented in bpp::RegisterRatesSubstitutionModel.
Definition at line 185 of file AbstractSubstitutionModel.h.
References bpp::AbstractTransitionModel::stateMap_.
|
inlineoverridevirtualinherited |
Get the state in the model corresponding to a particular state in the alphabet.
| code | The alphabet state to check. |
Implements bpp::BranchModelInterface.
Reimplemented in bpp::RegisterRatesSubstitutionModel.
Definition at line 183 of file AbstractSubstitutionModel.h.
References bpp::AbstractTransitionModel::stateMap_.
|
inlineoverridevirtual |
|
inlineoverridevirtualinherited |
Implements bpp::NucleotideSubstitutionModelInterface.
Definition at line 91 of file NucleotideSubstitutionModel.h.
References bpp::AbstractTransitionModel::alphabet_.
|
inlineoverridevirtualinherited |
Get the number of states.
For most models, this equals the size of the alphabet.
Implements bpp::BranchModelInterface.
Reimplemented in bpp::BinarySubstitutionModel, bpp::TwoParameterBinarySubstitutionModel, bpp::DFPDistanceFrequenciesSubstitutionModel, bpp::gBGC, bpp::YpR, bpp::RE08Nucleotide, bpp::RE08Protein, bpp::RE08Codon, bpp::RegisterRatesSubstitutionModel, and bpp::AbstractDFPSubstitutionModel.
Definition at line 175 of file AbstractSubstitutionModel.h.
References bpp::AbstractTransitionModel::stateMap_.
Referenced by bpp::AbstractCodonSubstitutionModel::completeMatrices_(), bpp::AbstractKroneckerCodonSubstitutionModel::completeMatrices_(), bpp::AbstractKroneckerWordSubstitutionModel::fillBasicGenerator_(), bpp::AbstractWordSubstitutionModel::fillBasicGenerator_(), bpp::WordSubstitutionModel::getd2Pij_dt2(), bpp::AbstractMixedTransitionModel::getd2Pij_dt2(), bpp::WordSubstitutionModel::getdPij_dt(), bpp::AbstractMixedTransitionModel::getdPij_dt(), bpp::RE08Nucleotide::getNumberOfStates(), bpp::RE08Protein::getNumberOfStates(), bpp::RE08Codon::getNumberOfStates(), bpp::WordSubstitutionModel::getPij_t(), bpp::AbstractMixedTransitionModel::getPij_t(), bpp::AbstractWordSubstitutionModel::setFreq(), bpp::AbstractSubstitutionModel::updateMatrices_(), bpp::AbstractWordSubstitutionModel::updateMatrices_(), bpp::MixtureOfATransitionModel::updateMatrices_(), and bpp::MixtureOfTransitionModels::updateMatrices_().
|
overridevirtual |
Reimplemented from bpp::AbstractSubstitutionModel.
Definition at line 262 of file K80.cpp.
References bpp::exp(), exp1_, exp2_, k_, l_, p_, r_, and bpp::AbstractTransitionModel::rate_.
|
overridevirtualinherited |
The rate of the substitution process.
Implements bpp::BranchModelInterface.
Reimplemented in bpp::RegisterRatesSubstitutionModel.
Definition at line 45 of file AbstractSubstitutionModel.cpp.
References bpp::AbstractTransitionModel::rate_.
|
inlinevirtualinherited |
Implements bpp::SubstitutionModelInterface.
Definition at line 426 of file AbstractSubstitutionModel.h.
References bpp::AbstractSubstitutionModel::leftEigenVectors_.
|
virtualinherited |
return scale
Implements bpp::SubstitutionModelInterface.
Definition at line 632 of file AbstractSubstitutionModel.cpp.
References bpp::MatrixTools::diag(), bpp::AbstractTransitionModel::freq_, and bpp::AbstractSubstitutionModel::generator_.
Referenced by bpp::AbstractSubstitutionModel::normalize().
|
inlineoverridevirtualinherited |
Implements bpp::BranchModelInterface.
Reimplemented in bpp::RegisterRatesSubstitutionModel.
Definition at line 173 of file AbstractSubstitutionModel.h.
References bpp::AbstractTransitionModel::stateMap_.
Referenced by bpp::D1WalkSubstitutionModel::D1WalkSubstitutionModel(), and bpp::EquiprobableSubstitutionModel::EquiprobableSubstitutionModel().
|
inlinevirtualinherited |
Implements bpp::SubstitutionModelInterface.
Definition at line 422 of file AbstractSubstitutionModel.h.
References bpp::AbstractSubstitutionModel::isDiagonalizable_.
|
inlinevirtualinherited |
Implements bpp::SubstitutionModelInterface.
Definition at line 424 of file AbstractSubstitutionModel.h.
References bpp::AbstractSubstitutionModel::isNonSingular_.
|
inlinevirtualinherited |
returns if model is scalable
Implements bpp::SubstitutionModelInterface.
Definition at line 469 of file AbstractSubstitutionModel.h.
References bpp::AbstractSubstitutionModel::isScalable_.
Referenced by bpp::F84::updateMatrices_(), bpp::HKY85::updateMatrices_(), updateMatrices_(), bpp::RN95::updateMatrices_(), bpp::RN95s::updateMatrices_(), bpp::T92::updateMatrices_(), bpp::TN93::updateMatrices_(), and bpp::YpR::updateMatrices_().
|
inlineoverridevirtualinherited |
This method is used to compute likelihoods in recursions. It computes the probability of a vector given a start state.
| values | An vector of states on the site. |
| t | the branch length |
Implements bpp::TransitionModelInterface.
Definition at line 30 of file AbstractSubstitutionModel.h.
References bpp::TransitionModelInterface::getPij_t(), and bpp::AbstractLkTransitionModel::lik_.
|
virtualinherited |
normalize the generator
Implements bpp::SubstitutionModelInterface.
Definition at line 673 of file AbstractSubstitutionModel.cpp.
References bpp::AbstractSubstitutionModel::getScale(), bpp::AbstractSubstitutionModel::isScalable_, and bpp::AbstractSubstitutionModel::setScale().
Referenced by bpp::AbstractSubstitutionModel::updateMatrices_(), bpp::AbstractWordSubstitutionModel::updateMatrices_(), bpp::AbstractReversibleSubstitutionModel::updateMatrices_(), and bpp::gBGC::updateMatrices_().
|
overridevirtual |
Reimplemented from bpp::AbstractTransitionModel.
Definition at line 109 of file K80.cpp.
References bpp::exp(), exp1_, exp2_, k_, l_, r_, and bpp::AbstractTransitionModel::rate_.
|
inlinevirtualinherited |
A method for computing all necessary matrices.
Implements bpp::SubstitutionModelInterface.
Definition at line 430 of file AbstractSubstitutionModel.h.
References bpp::AbstractSubstitutionModel::generator_.
|
virtualinherited |
set the diagonal of the generator such that sum on each line equals 0.
Implements bpp::SubstitutionModelInterface.
Definition at line 654 of file AbstractSubstitutionModel.cpp.
References bpp::AbstractSubstitutionModel::generator_, RowMatrix< double >::getRow(), and bpp::AbstractTransitionModel::size_.
Referenced by bpp::CodonSameAARateSubstitutionModel::compute_(), bpp::AbstractWordSubstitutionModel::updateMatrices_(), bpp::AbstractReversibleSubstitutionModel::updateMatrices_(), bpp::AbstractDFPSubstitutionModel::updateMatrices_(), bpp::POMO::updateMatrices_(), and bpp::RegisterRatesSubstitutionModel::updateMatrices_().
|
overridevirtualinherited |
Set equilibrium frequencies.
| frequencies | The map of the frequencies to use. |
Implements bpp::TransitionModelInterface.
Reimplemented in bpp::F84, bpp::MixtureOfATransitionModel, bpp::MixtureOfTransitionModels, bpp::L95, bpp::RN95, bpp::RN95s, bpp::SSR, bpp::D1WalkSubstitutionModel, bpp::EquiprobableSubstitutionModel, bpp::AbstractWordSubstitutionModel, bpp::BinarySubstitutionModel, bpp::HKY85, bpp::F81, bpp::GTR, bpp::T92, bpp::TN93, bpp::AbstractMixedTransitionModel, bpp::CodonAdHocSubstitutionModel, bpp::CodonDistanceFrequenciesSubstitutionModel, bpp::CodonDistancePhaseFrequenciesSubstitutionModel, bpp::CodonSameAARateSubstitutionModel, bpp::DFPDistanceFrequenciesSubstitutionModel, bpp::KroneckerCodonDistanceFrequenciesSubstitutionModel, bpp::SENCA, bpp::POMO, bpp::RE08, and bpp::RE08Codon.
Definition at line 98 of file AbstractSubstitutionModel.cpp.
References bpp::AbstractTransitionModel::freq_, and bpp::AbstractTransitionModel::updateMatrices_().
Referenced by bpp::SENCA::setFreq(), and bpp::AbstractTransitionModel::setFreqFromData().
|
inlineoverridevirtual |
This method is disabled in this model since frequencies are not free parameters.
Consider using the HKY85 model for instance if you want to set frequencies as parameters.
| data | Unused parameter. |
| pseudoCount | Unused parameter. |
Reimplemented from bpp::AbstractTransitionModel.
|
overridevirtualinherited |
Set the rate of the model (must be positive).
| rate | must be positive. |
Implements bpp::BranchModelInterface.
Reimplemented in bpp::AbstractMixedTransitionModel, and bpp::RegisterRatesSubstitutionModel.
Definition at line 52 of file AbstractSubstitutionModel.cpp.
References bpp::AbstractParameterAliasable::hasParameter(), bpp::AbstractTransitionModel::rate_, bpp::AbstractParameterAliasable::setParameterValue(), and bpp::TextTools::toString().
Referenced by bpp::AbstractMixedTransitionModel::setRate().
|
inlinevirtualinherited |
sets if model is scalable, ie scale can be changed. Default : true, set to false to avoid normalization for example.
Implements bpp::SubstitutionModelInterface.
Definition at line 461 of file AbstractSubstitutionModel.h.
References bpp::AbstractSubstitutionModel::isScalable_.
|
virtualinherited |
Multiplies the current generator by the given scale.
| scale | the scale by which the generator is multiplied. |
Implements bpp::SubstitutionModelInterface.
Definition at line 641 of file AbstractSubstitutionModel.cpp.
References bpp::AbstractSubstitutionModel::eigenValues_, bpp::AbstractSubstitutionModel::generator_, bpp::AbstractSubstitutionModel::iEigenValues_, bpp::AbstractSubstitutionModel::isScalable_, and bpp::MatrixTools::scale().
Referenced by bpp::AbstractSubstitutionModel::normalize(), bpp::AbstractSubstitutionModel::updateMatrices_(), bpp::F84::updateMatrices_(), bpp::HKY85::updateMatrices_(), bpp::gBGC::updateMatrices_(), updateMatrices_(), bpp::L95::updateMatrices_(), bpp::RN95::updateMatrices_(), bpp::RN95s::updateMatrices_(), bpp::T92::updateMatrices_(), bpp::TN93::updateMatrices_(), bpp::POMO::updateMatrices_(), and bpp::YpR::updateMatrices_().
|
inlineinherited |
Definition at line 239 of file AbstractSubstitutionModel.h.
References bpp::AbstractTransitionModel::verboseLevel_.
|
inlinevirtualinherited |
By definition Sij(i,j) = Sij(j,i).
Implements bpp::SubstitutionModelInterface.
Definition at line 416 of file AbstractSubstitutionModel.h.
References bpp::AbstractSubstitutionModel::exchangeability_.
|
inlineoverridevirtualinherited |
Implements bpp::BranchModelInterface.
Reimplemented in bpp::RegisterRatesSubstitutionModel.
Definition at line 171 of file AbstractSubstitutionModel.h.
References bpp::AbstractTransitionModel::stateMap_.
|
overrideprotectedvirtual |
Compute and diagonalize the
matrix, and fill the eigenValues_, leftEigenVectors_ and rightEigenVectors_ matrices.
The exchangeability_ matrix and freq_ vector must be initialized. This function computes the generator_ matrix with the formula
where
is the generator matrix,
is the exchangeability matrix and
the diagonal matrix with frequencies.
The generator is then scaled so that
(
are the equilibrium frequencies).
Eigen values and vectors are computed from the scaled generator and assigned to the eigenValues_, rightEigenVectors_ and leftEigenVectors_ variables.
Reimplemented from bpp::AbstractReversibleSubstitutionModel.
Definition at line 29 of file K80.cpp.
References bpp::AbstractSubstitutionModel::eigenValues_, bpp::AbstractSubstitutionModel::exchangeability_, bpp::AbstractTransitionModel::freq_, bpp::AbstractSubstitutionModel::generator_, bpp::AbstractParameterAliasable::getParameterValue(), bpp::AbstractSubstitutionModel::isScalable(), k_, kappa_, bpp::AbstractSubstitutionModel::leftEigenVectors_, r_, bpp::AbstractSubstitutionModel::rightEigenVectors_, bpp::MatrixTools::scale(), and bpp::AbstractSubstitutionModel::setScale().
Referenced by K80().
|
inlineinherited |
Definition at line 241 of file AbstractSubstitutionModel.h.
References bpp::AbstractTransitionModel::verboseLevel_.
|
protectedinherited |
The alphabet relevant to this model.
Definition at line 121 of file AbstractSubstitutionModel.h.
Referenced by bpp::AbstractWordSubstitutionModel::AbstractWordSubstitutionModel(), bpp::AbstractTransitionModel::alphabet(), bpp::POMO::getAllelicAlphabet(), bpp::AbstractTransitionModel::getAlphabet(), bpp::AbstractTransitionModel::getInitValue(), bpp::RE08::getInitValue(), bpp::AbstractNucleotideSubstitutionModel::getNucleicAlphabet(), bpp::AbstractReversibleNucleotideSubstitutionModel::getNucleicAlphabet(), bpp::RE08Nucleotide::getNucleicAlphabet(), bpp::AbstractProteinSubstitutionModel::getProteicAlphabet(), bpp::AbstractReversibleProteinSubstitutionModel::getProteicAlphabet(), bpp::RE08Protein::getProteicAlphabet(), and bpp::AbstractWordSubstitutionModel::operator=().
|
protectedinherited |
if the Frequencies must be computed from the generator
Definition at line 303 of file AbstractSubstitutionModel.h.
Referenced by bpp::AbstractReversibleSubstitutionModel::AbstractReversibleSubstitutionModel(), bpp::AbstractSubstitutionModel::computeFrequencies(), and bpp::AbstractSubstitutionModel::operator=().
|
mutableprotectedinherited |
Definition at line 150 of file AbstractSubstitutionModel.h.
Referenced by bpp::WordSubstitutionModel::getd2Pij_dt2(), bpp::AbstractSubstitutionModel::getd2Pij_dt2(), and bpp::AbstractMixedTransitionModel::getd2Pij_dt2().
|
mutableprotectedinherited |
Definition at line 149 of file AbstractSubstitutionModel.h.
Referenced by bpp::WordSubstitutionModel::getdPij_dt(), bpp::AbstractSubstitutionModel::getdPij_dt(), and bpp::AbstractMixedTransitionModel::getdPij_dt().
|
protectedinherited |
Tell if the eigen decomposition should be performed.
Definition at line 315 of file AbstractSubstitutionModel.h.
Referenced by bpp::AbstractSubstitutionModel::enableEigenDecomposition(), and bpp::AbstractSubstitutionModel::operator=().
|
protectedinherited |
The vector of eigen values.
Definition at line 320 of file AbstractSubstitutionModel.h.
Referenced by bpp::AbstractSubstitutionModel::getd2Pij_dt2(), bpp::AbstractSubstitutionModel::getdPij_dt(), bpp::AbstractSubstitutionModel::getEigenValues(), bpp::AbstractSubstitutionModel::getPij_t(), bpp::AbstractSubstitutionModel::operator=(), bpp::RE08::RE08(), bpp::AbstractSubstitutionModel::setScale(), bpp::AbstractSubstitutionModel::updateMatrices_(), bpp::BinarySubstitutionModel::updateMatrices_(), bpp::F84::updateMatrices_(), bpp::HKY85::updateMatrices_(), bpp::TwoParameterBinarySubstitutionModel::updateMatrices_(), bpp::EquiprobableSubstitutionModel::updateMatrices_(), bpp::F81::updateMatrices_(), bpp::gBGC::updateMatrices_(), bpp::JCnuc::updateMatrices_(), updateMatrices_(), bpp::RN95::updateMatrices_(), bpp::RN95s::updateMatrices_(), bpp::T92::updateMatrices_(), bpp::TN93::updateMatrices_(), bpp::JCprot::updateMatrices_(), and bpp::YpR::updateMatrices_().
|
protectedinherited |
The exchangeability matrix
of the model, defined as
. When the model is reversible, this matrix is symmetric.
Definition at line 310 of file AbstractSubstitutionModel.h.
Referenced by bpp::Coala::Coala(), bpp::D1WalkSubstitutionModel::D1WalkSubstitutionModel(), bpp::LGL08_CAT::EmbeddedModel::EmbeddedModel(), bpp::AbstractSubstitutionModel::exchangeabilityMatrix(), bpp::AbstractSubstitutionModel::operator=(), bpp::RE08::RE08(), bpp::UserProteinSubstitutionModel::readFromFile(), bpp::Coala::readFromFile(), bpp::AbstractSubstitutionModel::Sij(), bpp::AbstractWordSubstitutionModel::updateMatrices_(), bpp::F84::updateMatrices_(), bpp::HKY85::updateMatrices_(), bpp::AbstractReversibleSubstitutionModel::updateMatrices_(), bpp::EquiprobableSubstitutionModel::updateMatrices_(), bpp::F81::updateMatrices_(), bpp::GTR::updateMatrices_(), bpp::JCnuc::updateMatrices_(), updateMatrices_(), bpp::RN95::updateMatrices_(), bpp::RN95s::updateMatrices_(), bpp::SSR::updateMatrices_(), bpp::T92::updateMatrices_(), bpp::TN93::updateMatrices_(), bpp::JCprot::updateMatrices_(), bpp::RE08::updateMatrices_(), and bpp::YpR::updateMatrices_().
|
private |
Definition at line 119 of file K80.h.
Referenced by d2Pij_dt2(), dPij_dt(), getd2Pij_dt2(), getdPij_dt(), getPij_t(), and Pij_t().
|
private |
Definition at line 119 of file K80.h.
Referenced by d2Pij_dt2(), dPij_dt(), getd2Pij_dt2(), getdPij_dt(), getPij_t(), and Pij_t().
|
protectedinherited |
The vector
of equilibrium frequencies.
Definition at line 143 of file AbstractSubstitutionModel.h.
Referenced by bpp::AbstractReversibleSubstitutionModel::AbstractReversibleSubstitutionModel(), bpp::AbstractTransitionModel::AbstractTransitionModel(), bpp::WordSubstitutionModel::completeMatrices_(), bpp::Coala::computeEquilibriumFrequencies(), bpp::RE08::d2Pij_dt2(), bpp::RE08::dPij_dt(), bpp::DSO78::DSO78(), bpp::EquiprobableSubstitutionModel::EquiprobableSubstitutionModel(), bpp::EquiprobableSubstitutionModel::fireParameterChanged(), bpp::DSO78::fireParameterChanged(), bpp::JCprot::fireParameterChanged(), bpp::JTT92::fireParameterChanged(), bpp::LG08::fireParameterChanged(), bpp::UserProteinSubstitutionModel::fireParameterChanged(), bpp::WAG01::fireParameterChanged(), bpp::AbstractTransitionModel::freq(), bpp::RE08::getd2Pij_dt2(), bpp::RE08::getdPij_dt(), bpp::AbstractTransitionModel::getFrequencies(), bpp::AbstractTransitionModel::getFrequencies_(), bpp::RE08::getPij_t(), bpp::AbstractSubstitutionModel::getScale(), bpp::JCprot::JCprot(), bpp::JTT92::JTT92(), bpp::LG08::LG08(), bpp::RE08::Pij_t(), bpp::RE08::RE08(), bpp::UserProteinSubstitutionModel::readFromFile(), bpp::D1WalkSubstitutionModel::setFreq(), bpp::EquiprobableSubstitutionModel::setFreq(), bpp::AbstractTransitionModel::setFreq(), bpp::DSO78::setFreqFromData(), bpp::JCprot::setFreqFromData(), bpp::JTT92::setFreqFromData(), bpp::LG08::setFreqFromData(), bpp::UserProteinSubstitutionModel::setFreqFromData(), bpp::WAG01::setFreqFromData(), bpp::AbstractSubstitutionModel::updateMatrices_(), bpp::AbstractWordSubstitutionModel::updateMatrices_(), bpp::BinarySubstitutionModel::updateMatrices_(), bpp::F84::updateMatrices_(), bpp::HKY85::updateMatrices_(), bpp::TwoParameterBinarySubstitutionModel::updateMatrices_(), bpp::AbstractReversibleSubstitutionModel::updateMatrices_(), bpp::D1WalkSubstitutionModel::updateMatrices_(), bpp::EquiprobableSubstitutionModel::updateMatrices_(), bpp::MixtureOfATransitionModel::updateMatrices_(), bpp::MixtureOfTransitionModels::updateMatrices_(), bpp::F81::updateMatrices_(), bpp::gBGC::updateMatrices_(), bpp::GTR::updateMatrices_(), bpp::JCnuc::updateMatrices_(), updateMatrices_(), bpp::L95::updateMatrices_(), bpp::RN95::updateMatrices_(), bpp::RN95s::updateMatrices_(), bpp::SSR::updateMatrices_(), bpp::T92::updateMatrices_(), bpp::TN93::updateMatrices_(), bpp::POMO::updateMatrices_(), bpp::JCprot::updateMatrices_(), bpp::RE08::updateMatrices_(), bpp::YpR::updateMatrices_(), bpp::UserProteinSubstitutionModel::UserProteinSubstitutionModel(), and bpp::WAG01::WAG01().
|
protectedinherited |
The generator matrix
of the model.
Definition at line 298 of file AbstractSubstitutionModel.h.
Referenced by bpp::AbstractCodonSubstitutionModel::completeMatrices_(), bpp::AbstractKroneckerCodonSubstitutionModel::completeMatrices_(), bpp::CodonSameAARateSubstitutionModel::compute_(), bpp::AbstractKroneckerWordSubstitutionModel::fillBasicGenerator_(), bpp::AbstractWordSubstitutionModel::fillBasicGenerator_(), bpp::AbstractSubstitutionModel::generator(), bpp::AbstractSubstitutionModel::getScale(), bpp::AbstractSubstitutionModel::operator=(), bpp::AbstractSubstitutionModel::Qij(), bpp::RE08::RE08(), bpp::AbstractSubstitutionModel::setDiagonal(), bpp::AnonymousSubstitutionModel::setGenerator(), bpp::AbstractSubstitutionModel::setScale(), bpp::AbstractSubstitutionModel::updateMatrices_(), bpp::AbstractWordSubstitutionModel::updateMatrices_(), bpp::BinarySubstitutionModel::updateMatrices_(), bpp::F84::updateMatrices_(), bpp::HKY85::updateMatrices_(), bpp::TwoParameterBinarySubstitutionModel::updateMatrices_(), bpp::AbstractReversibleSubstitutionModel::updateMatrices_(), bpp::AbstractDFPSubstitutionModel::updateMatrices_(), bpp::EquiprobableSubstitutionModel::updateMatrices_(), bpp::F81::updateMatrices_(), bpp::gBGC::updateMatrices_(), bpp::JCnuc::updateMatrices_(), updateMatrices_(), bpp::L95::updateMatrices_(), bpp::RN95::updateMatrices_(), bpp::RN95s::updateMatrices_(), bpp::T92::updateMatrices_(), bpp::TN93::updateMatrices_(), bpp::POMO::updateMatrices_(), bpp::JCprot::updateMatrices_(), bpp::RE08::updateMatrices_(), bpp::RegisterRatesSubstitutionModel::updateMatrices_(), and bpp::YpR::updateMatrices_().
|
protectedinherited |
The vector of the imaginary part of the eigen values.
Definition at line 325 of file AbstractSubstitutionModel.h.
Referenced by bpp::AbstractSubstitutionModel::getd2Pij_dt2(), bpp::AbstractSubstitutionModel::getdPij_dt(), bpp::AbstractSubstitutionModel::getIEigenValues(), bpp::AbstractSubstitutionModel::getPij_t(), bpp::AbstractSubstitutionModel::operator=(), bpp::AbstractSubstitutionModel::setScale(), bpp::AbstractSubstitutionModel::updateMatrices_(), bpp::gBGC::updateMatrices_(), and bpp::YpR::updateMatrices_().
|
protectedinherited |
boolean value for diagonalizability in R of the generator_
Definition at line 330 of file AbstractSubstitutionModel.h.
Referenced by bpp::AbstractReversibleSubstitutionModel::AbstractReversibleSubstitutionModel(), bpp::AbstractSubstitutionModel::getd2Pij_dt2(), bpp::AbstractSubstitutionModel::getdPij_dt(), bpp::AbstractSubstitutionModel::getPij_t(), bpp::AbstractSubstitutionModel::isDiagonalizable(), bpp::AbstractSubstitutionModel::operator=(), bpp::AbstractSubstitutionModel::updateMatrices_(), bpp::gBGC::updateMatrices_(), bpp::RN95::updateMatrices_(), bpp::RN95s::updateMatrices_(), and bpp::YpR::updateMatrices_().
|
protectedinherited |
boolean value for non-singularity of rightEigenVectors_
Definition at line 340 of file AbstractSubstitutionModel.h.
Referenced by bpp::AbstractReversibleSubstitutionModel::AbstractReversibleSubstitutionModel(), bpp::AbstractSubstitutionModel::getd2Pij_dt2(), bpp::AbstractSubstitutionModel::getdPij_dt(), bpp::AbstractSubstitutionModel::getPij_t(), bpp::AbstractSubstitutionModel::isNonSingular(), bpp::AbstractSubstitutionModel::operator=(), bpp::AbstractSubstitutionModel::updateMatrices_(), bpp::gBGC::updateMatrices_(), bpp::RN95::updateMatrices_(), bpp::RN95s::updateMatrices_(), and bpp::YpR::updateMatrices_().
|
protectedinherited |
If the model is scalable (ie generator can be normalized automatically).
Definition at line 293 of file AbstractSubstitutionModel.h.
Referenced by bpp::AbstractSubstitutionModel::isScalable(), bpp::AbstractSubstitutionModel::normalize(), bpp::AbstractSubstitutionModel::operator=(), bpp::RegisterRatesSubstitutionModel::RegisterRatesSubstitutionModel(), bpp::AbstractSubstitutionModel::setScalable(), and bpp::AbstractSubstitutionModel::setScale().
|
private |
Definition at line 119 of file K80.h.
Referenced by d2Pij_dt2(), dPij_dt(), getd2Pij_dt2(), getdPij_dt(), getPij_t(), Pij_t(), and updateMatrices_().
|
private |
Definition at line 118 of file K80.h.
Referenced by updateMatrices_().
|
mutableprivate |
Definition at line 119 of file K80.h.
Referenced by d2Pij_dt2(), dPij_dt(), getd2Pij_dt2(), getdPij_dt(), getPij_t(), and Pij_t().
|
protectedinherited |
The
matrix made of left eigen vectors (by row) if rightEigenVectors_ is non-singular.
Definition at line 346 of file AbstractSubstitutionModel.h.
Referenced by bpp::AbstractSubstitutionModel::getd2Pij_dt2(), bpp::AbstractSubstitutionModel::getdPij_dt(), bpp::AbstractSubstitutionModel::getPij_t(), bpp::AbstractSubstitutionModel::getRowLeftEigenVectors(), bpp::AbstractSubstitutionModel::operator=(), bpp::RE08::RE08(), bpp::AbstractSubstitutionModel::updateMatrices_(), bpp::BinarySubstitutionModel::updateMatrices_(), bpp::F84::updateMatrices_(), bpp::HKY85::updateMatrices_(), bpp::TwoParameterBinarySubstitutionModel::updateMatrices_(), bpp::EquiprobableSubstitutionModel::updateMatrices_(), bpp::F81::updateMatrices_(), bpp::gBGC::updateMatrices_(), bpp::JCnuc::updateMatrices_(), updateMatrices_(), bpp::RN95::updateMatrices_(), bpp::RN95s::updateMatrices_(), bpp::T92::updateMatrices_(), bpp::TN93::updateMatrices_(), bpp::JCprot::updateMatrices_(), and bpp::YpR::updateMatrices_().
|
mutableprivateinherited |
Definition at line 23 of file AbstractSubstitutionModel.h.
Referenced by bpp::AbstractLkTransitionModel::d2Lik_dt2(), bpp::AbstractLkTransitionModel::dLik_dt(), and bpp::AbstractLkTransitionModel::Lik_t().
|
mutableprivate |
Definition at line 120 of file K80.h.
Referenced by getd2Pij_dt2(), getdPij_dt(), and getPij_t().
|
mutableprotectedinherited |
These ones are for bookkeeping:
Definition at line 148 of file AbstractSubstitutionModel.h.
Referenced by bpp::WordSubstitutionModel::getPij_t(), bpp::AbstractSubstitutionModel::getPij_t(), and bpp::AbstractMixedTransitionModel::getPij_t().
|
private |
Definition at line 118 of file K80.h.
Referenced by d2Pij_dt2(), dPij_dt(), getd2Pij_dt2(), getdPij_dt(), getPij_t(), Pij_t(), and updateMatrices_().
|
protectedinherited |
The rate of the model (default: 1). The generator (and all its vectorial components) is independent of the rate, since it should be normalized.
Definition at line 138 of file AbstractSubstitutionModel.h.
Referenced by bpp::AbstractTransitionModel::addRateParameter(), bpp::BinarySubstitutionModel::d2Pij_dt2(), bpp::F84::d2Pij_dt2(), bpp::HKY85::d2Pij_dt2(), bpp::TwoParameterBinarySubstitutionModel::d2Pij_dt2(), bpp::EquiprobableSubstitutionModel::d2Pij_dt2(), bpp::F81::d2Pij_dt2(), bpp::JCnuc::d2Pij_dt2(), d2Pij_dt2(), bpp::T92::d2Pij_dt2(), bpp::TN93::d2Pij_dt2(), bpp::JCprot::d2Pij_dt2(), bpp::BinarySubstitutionModel::dPij_dt(), bpp::F84::dPij_dt(), bpp::HKY85::dPij_dt(), bpp::TwoParameterBinarySubstitutionModel::dPij_dt(), bpp::EquiprobableSubstitutionModel::dPij_dt(), bpp::F81::dPij_dt(), bpp::JCnuc::dPij_dt(), dPij_dt(), bpp::T92::dPij_dt(), bpp::TN93::dPij_dt(), bpp::JCprot::dPij_dt(), bpp::AbstractTransitionModel::fireParameterChanged(), bpp::BinarySubstitutionModel::getd2Pij_dt2(), bpp::F84::getd2Pij_dt2(), bpp::HKY85::getd2Pij_dt2(), bpp::TwoParameterBinarySubstitutionModel::getd2Pij_dt2(), bpp::EquiprobableSubstitutionModel::getd2Pij_dt2(), bpp::F81::getd2Pij_dt2(), bpp::JCnuc::getd2Pij_dt2(), getd2Pij_dt2(), bpp::T92::getd2Pij_dt2(), bpp::TN93::getd2Pij_dt2(), bpp::JCprot::getd2Pij_dt2(), bpp::WordSubstitutionModel::getd2Pij_dt2(), bpp::AbstractSubstitutionModel::getd2Pij_dt2(), bpp::BinarySubstitutionModel::getdPij_dt(), bpp::F84::getdPij_dt(), bpp::HKY85::getdPij_dt(), bpp::TwoParameterBinarySubstitutionModel::getdPij_dt(), bpp::EquiprobableSubstitutionModel::getdPij_dt(), bpp::F81::getdPij_dt(), bpp::JCnuc::getdPij_dt(), getdPij_dt(), bpp::T92::getdPij_dt(), bpp::TN93::getdPij_dt(), bpp::JCprot::getdPij_dt(), bpp::WordSubstitutionModel::getdPij_dt(), bpp::AbstractSubstitutionModel::getdPij_dt(), bpp::BinarySubstitutionModel::getPij_t(), bpp::F84::getPij_t(), bpp::HKY85::getPij_t(), bpp::TwoParameterBinarySubstitutionModel::getPij_t(), bpp::EquiprobableSubstitutionModel::getPij_t(), bpp::F81::getPij_t(), bpp::JCnuc::getPij_t(), getPij_t(), bpp::T92::getPij_t(), bpp::TN93::getPij_t(), bpp::JCprot::getPij_t(), bpp::WordSubstitutionModel::getPij_t(), bpp::AbstractSubstitutionModel::getPij_t(), bpp::AbstractTransitionModel::getRate(), bpp::AbstractMixedTransitionModel::normalizeVRates(), bpp::BinarySubstitutionModel::Pij_t(), bpp::F84::Pij_t(), bpp::HKY85::Pij_t(), bpp::TwoParameterBinarySubstitutionModel::Pij_t(), bpp::EquiprobableSubstitutionModel::Pij_t(), bpp::F81::Pij_t(), bpp::JCnuc::Pij_t(), Pij_t(), bpp::T92::Pij_t(), bpp::TN93::Pij_t(), bpp::JCprot::Pij_t(), bpp::AbstractMixedTransitionModel::setRate(), bpp::AbstractTransitionModel::setRate(), bpp::BinarySubstitutionModel::updateMatrices_(), bpp::TwoParameterBinarySubstitutionModel::updateMatrices_(), and bpp::MixtureOfTransitionModels::updateMatrices_().
|
protectedinherited |
The
matrix made of right eigen vectors (by column).
Definition at line 335 of file AbstractSubstitutionModel.h.
Referenced by bpp::AbstractSubstitutionModel::getColumnRightEigenVectors(), bpp::AbstractSubstitutionModel::getd2Pij_dt2(), bpp::AbstractSubstitutionModel::getdPij_dt(), bpp::AbstractSubstitutionModel::getPij_t(), bpp::AbstractSubstitutionModel::operator=(), bpp::RE08::RE08(), bpp::AbstractSubstitutionModel::updateMatrices_(), bpp::BinarySubstitutionModel::updateMatrices_(), bpp::F84::updateMatrices_(), bpp::HKY85::updateMatrices_(), bpp::TwoParameterBinarySubstitutionModel::updateMatrices_(), bpp::EquiprobableSubstitutionModel::updateMatrices_(), bpp::F81::updateMatrices_(), bpp::gBGC::updateMatrices_(), bpp::JCnuc::updateMatrices_(), updateMatrices_(), bpp::RN95::updateMatrices_(), bpp::RN95s::updateMatrices_(), bpp::T92::updateMatrices_(), bpp::TN93::updateMatrices_(), bpp::JCprot::updateMatrices_(), and bpp::YpR::updateMatrices_().
|
protectedinherited |
The number of states.
Definition at line 131 of file AbstractSubstitutionModel.h.
Referenced by bpp::AbstractReversibleSubstitutionModel::AbstractReversibleSubstitutionModel(), bpp::AbstractTransitionModel::AbstractTransitionModel(), bpp::D1WalkSubstitutionModel::D1WalkSubstitutionModel(), bpp::EquiprobableSubstitutionModel::d2Pij_dt2(), bpp::RE08::d2Pij_dt2(), bpp::EquiprobableSubstitutionModel::dPij_dt(), bpp::RE08::dPij_dt(), bpp::EquiprobableSubstitutionModel::getd2Pij_dt2(), bpp::JCnuc::getd2Pij_dt2(), bpp::JCprot::getd2Pij_dt2(), bpp::RE08::getd2Pij_dt2(), bpp::AbstractSubstitutionModel::getd2Pij_dt2(), bpp::EquiprobableSubstitutionModel::getdPij_dt(), bpp::JCnuc::getdPij_dt(), bpp::JCprot::getdPij_dt(), bpp::RE08::getdPij_dt(), bpp::AbstractSubstitutionModel::getdPij_dt(), bpp::AbstractTransitionModel::getInitValue(), bpp::RE08::getInitValue(), bpp::EquiprobableSubstitutionModel::getPij_t(), bpp::JCnuc::getPij_t(), bpp::JCprot::getPij_t(), bpp::RE08::getPij_t(), bpp::AbstractSubstitutionModel::getPij_t(), bpp::EquiprobableSubstitutionModel::Pij_t(), bpp::RE08::Pij_t(), bpp::RE08::RE08(), bpp::AbstractSubstitutionModel::setDiagonal(), bpp::T92::T92(), bpp::TN93::TN93(), bpp::AbstractWordSubstitutionModel::updateMatrices_(), bpp::EquiprobableSubstitutionModel::updateMatrices_(), bpp::RN95::updateMatrices_(), bpp::RN95s::updateMatrices_(), bpp::RE08::updateMatrices_(), and bpp::YpR::updateMatrices_().
|
protectedinherited |
The map of model states with alphabet states.
Definition at line 126 of file AbstractSubstitutionModel.h.
Referenced by bpp::AbstractWordSubstitutionModel::AbstractWordSubstitutionModel(), bpp::CodonSameAARateSubstitutionModel::compute_(), bpp::AbstractTransitionModel::getAlphabetStateAsChar(), bpp::AbstractTransitionModel::getAlphabetStateAsInt(), bpp::AbstractTransitionModel::getAlphabetStates(), bpp::AbstractTransitionModel::getModelStates(), bpp::AbstractTransitionModel::getNumberOfStates(), bpp::AbstractTransitionModel::getStateMap(), and bpp::AbstractTransitionModel::stateMap().
|
mutableprotectedinherited |
For computational issues.
Definition at line 357 of file AbstractSubstitutionModel.h.
Referenced by bpp::AbstractSubstitutionModel::getd2Pij_dt2(), bpp::AbstractSubstitutionModel::getdPij_dt(), bpp::AbstractSubstitutionModel::getPij_t(), bpp::AbstractSubstitutionModel::operator=(), bpp::AbstractSubstitutionModel::updateMatrices_(), bpp::gBGC::updateMatrices_(), and bpp::YpR::updateMatrices_().
|
protectedinherited |
Definition at line 152 of file AbstractSubstitutionModel.h.
Referenced by bpp::AbstractTransitionModel::setVerboseLevel(), bpp::AbstractSubstitutionModel::updateMatrices_(), and bpp::AbstractTransitionModel::verboseLevel().
|
protectedinherited |
vector of the powers of generator_ for Taylor development (if rightEigenVectors_ is singular).
Definition at line 352 of file AbstractSubstitutionModel.h.
Referenced by bpp::AbstractSubstitutionModel::getd2Pij_dt2(), bpp::AbstractSubstitutionModel::getdPij_dt(), bpp::AbstractSubstitutionModel::getPij_t(), bpp::AbstractSubstitutionModel::operator=(), bpp::AbstractSubstitutionModel::updateMatrices_(), bpp::gBGC::updateMatrices_(), bpp::RN95::updateMatrices_(), bpp::RN95s::updateMatrices_(), and bpp::YpR::updateMatrices_().