|
bpp-phyl3 3.0.0
|
The no-strand bias substitution model for nucleotides, from Lobry 1995. The point of this model is that the substitution rate from a nucleotide N towards another M is the same as the rate from the complement of N towards the complement of M. Note that this model is not reversible. More...
#include <Bpp/Phyl/Model/Nucleotide/L95.h>
Inheritance diagram for bpp::L95:
Collaboration diagram for bpp::L95:Public Member Functions | |
| L95 (std::shared_ptr< const NucleicAlphabet > alphabet, double alpha=0.5, double beta=0.5, double gamma=0.5, double kappa=1., double theta=0.5) | |
| virtual | ~L95 () |
| L95 * | clone () const override |
| std::string | getName () const override |
| Get the name of the model. More... | |
| void | setFreq (std::map< int, double > &) override |
| This method is redefined to actualize the corresponding parameters theta too. More... | |
| std::shared_ptr< const NucleicAlphabet > | getNucleicAlphabet () const override |
| bool | computeFrequencies () const |
| void | computeFrequencies (bool yn) |
| Set if equilibrium frequencies should be computed. More... | |
| const Matrix< double > & | generator () const |
| const Matrix< double > & | exchangeabilityMatrix () const |
| const Matrix< double > & | getPij_t (double t) const |
| const Matrix< double > & | getdPij_dt (double t) const |
| const Matrix< double > & | getd2Pij_dt2 (double t) const |
| double | Sij (size_t i, size_t j) const |
| const Vdouble & | getEigenValues () const |
| const Vdouble & | getIEigenValues () const |
| bool | isDiagonalizable () const |
| bool | isNonSingular () const |
| const Matrix< double > & | getRowLeftEigenVectors () const |
| const Matrix< double > & | getColumnRightEigenVectors () const |
| virtual double | Qij (size_t i, size_t j) const |
| A method for computing all necessary matrices. More... | |
| void | enableEigenDecomposition (bool yn) |
| Set if eigenValues and Vectors must be computed. More... | |
| bool | enableEigenDecomposition () |
| Tell if eigenValues and Vectors must be computed. More... | |
| void | setScalable (bool scalable) |
| sets if model is scalable, ie scale can be changed. Default : true, set to false to avoid normalization for example. More... | |
| virtual bool | isScalable () const |
| returns if model is scalable More... | |
| double | getScale () const |
| return scale More... | |
| void | setScale (double scale) |
| Multiplies the current generator by the given scale. More... | |
| void | normalize () |
| normalize the generator More... | |
| void | setDiagonal () |
| set the diagonal of the generator such that sum on each line equals 0. More... | |
| const Alphabet & | alphabet () const override |
| std::shared_ptr< const Alphabet > | getAlphabet () const override |
| const StateMapInterface & | stateMap () const override |
| std::shared_ptr< const StateMapInterface > | getStateMap () const override |
| size_t | getNumberOfStates () const override |
| Get the number of states. More... | |
| const std::vector< int > & | getAlphabetStates () const override |
| std::string | getAlphabetStateAsChar (size_t index) const override |
| int | getAlphabetStateAsInt (size_t index) const override |
| std::vector< size_t > | getModelStates (int code) const override |
| Get the state in the model corresponding to a particular state in the alphabet. More... | |
| std::vector< size_t > | getModelStates (const std::string &code) const override |
| Get the state in the model corresponding to a particular state in the alphabet. More... | |
| const Vdouble & | getFrequencies () const override |
| virtual double | freq (size_t i) const override |
| virtual double | Pij_t (size_t i, size_t j, double t) const override |
| virtual double | dPij_dt (size_t i, size_t j, double t) const override |
| virtual double | d2Pij_dt2 (size_t i, size_t j, double t) const override |
| double | getInitValue (size_t i, int state) const override |
| void | setFreqFromData (const SequenceDataInterface &data, double pseudoCount=0) override |
| Set equilibrium frequencies equal to the frequencies estimated from the data. More... | |
| const FrequencySetInterface & | frequencySet () const override |
| virtual void | fireParameterChanged (const ParameterList ¶meters) override |
| Tells the model that a parameter value has changed. More... | |
| void | addRateParameter () override |
| add a "rate" parameter to the model, that handles the overall rate of the process. More... | |
| void | setVerboseLevel (short level) |
| short | verboseLevel () const |
| virtual double | getRate () const override |
| The rate of the substitution process. More... | |
| virtual void | setRate (double rate) override |
| Set the rate of the model (must be positive). More... | |
| const Eigen::VectorXd & | Lik_t (const Eigen::VectorXd &values, double t) const override |
| const Eigen::VectorXd & | dLik_dt (const Eigen::VectorXd &values, double t) const override |
| const Eigen::VectorXd & | d2Lik_dt2 (const Eigen::VectorXd &values, double t) const override |
| virtual size_t | getNumberOfIndependentParameters () const=0 |
| size_t | getNumberOfIndependentParameters () const |
| virtual void | aliasParameters (const std::string &p1, const std::string &p2)=0 |
| virtual void | aliasParameters (std::map< std::string, std::string > &unparsedParams, bool verbose)=0 |
| void | aliasParameters (const std::string &p1, const std::string &p2) |
| void | aliasParameters (std::map< std::string, std::string > &unparsedParams, bool verbose) |
| virtual void | unaliasParameters (const std::string &p1, const std::string &p2)=0 |
| void | unaliasParameters (const std::string &p1, const std::string &p2) |
| virtual const ParameterList & | getIndependentParameters () const=0 |
| const ParameterList & | getIndependentParameters () const |
| virtual std::vector< std::string > | getAlias (const std::string &name) const=0 |
| virtual std::vector< std::string > | getAlias (const std::string &name) const |
| virtual std::map< std::string, std::string > | getAliases () const=0 |
| virtual std::map< std::string, std::string > | getAliases () const |
| virtual bool | hasParameter (const std::string &name) const=0 |
| bool | hasParameter (const std::string &name) const override |
| virtual const ParameterList & | getParameters () const=0 |
| const ParameterList & | getParameters () const override |
| virtual const Parameter & | parameter (const std::string &name) const=0 |
| const Parameter & | parameter (const std::string &name) const override |
| virtual double | getParameterValue (const std::string &name) const=0 |
| double | getParameterValue (const std::string &name) const override |
| virtual void | setAllParametersValues (const ParameterList ¶meters)=0 |
| void | setAllParametersValues (const ParameterList ¶meters) override |
| virtual void | setParameterValue (const std::string &name, double value)=0 |
| void | setParameterValue (const std::string &name, double value) override |
| virtual void | setParametersValues (const ParameterList ¶meters)=0 |
| void | setParametersValues (const ParameterList ¶meters) override |
| virtual bool | matchParametersValues (const ParameterList ¶meters)=0 |
| bool | matchParametersValues (const ParameterList ¶meters) override |
| virtual void | removeConstraint (const std::string &name)=0 |
| void | removeConstraint (const std::string &name) override |
| virtual void | setConstraint (const std::string &name, std::shared_ptr< ConstraintInterface > constraint)=0 |
| void | setConstraint (const std::string &name, std::shared_ptr< ConstraintInterface > constraint) override |
| virtual size_t | getNumberOfParameters () const=0 |
| size_t | getNumberOfParameters () const override |
| virtual void | setNamespace (const std::string &prefix)=0 |
| void | setNamespace (const std::string &prefix) |
| virtual std::string | getNamespace () const=0 |
| std::string | getNamespace () const override |
| virtual std::string | getParameterNameWithoutNamespace (const std::string &name) const=0 |
| std::string | getParameterNameWithoutNamespace (const std::string &name) const override |
| bool | hasIndependentParameter (const std::string &name) const |
| ParameterList | getAliasedParameters (const ParameterList &pl) const |
| ParameterList | getFromParameters (const ParameterList &pl) const |
| std::string | getFrom (const std::string &name) const |
| const std::shared_ptr< Parameter > & | getParameter (const std::string &name) const |
Protected Member Functions | |
| void | updateMatrices_ () override |
| Diagonalize the | |
| Vdouble & | getFrequencies_ () override |
| virtual ParameterList & | getParameters_ ()=0 |
| ParameterList & | getParameters_ () override |
| const std::shared_ptr< Parameter > & | getParameter (size_t i) const |
| std::shared_ptr< Parameter > & | getParameter (size_t i) |
| void | addParameter_ (Parameter *parameter) |
| void | addParameters_ (const ParameterList ¶meters) |
| void | shareParameter_ (const std::shared_ptr< Parameter > ¶meter) |
| void | shareParameters_ (const ParameterList ¶meters) |
| void | includeParameters_ (const ParameterList ¶meters) |
| void | deleteParameter_ (size_t index) |
| void | deleteParameter_ (std::string &name) |
| void | deleteParameters_ (const std::vector< std::string > &names) |
| void | resetParameters_ () |
| Parameter & | getParameter_ (const std::string &name) |
| Parameter & | getParameter_ (size_t index) |
| const Parameter & | getParameter_ (size_t index) const |
| Parameter & | getParameterWithNamespace_ (const std::string &name) |
| const Parameter & | getParameterWithNamespace_ (const std::string &name) const |
Protected Attributes | |
| bool | isScalable_ |
| If the model is scalable (ie generator can be normalized automatically). More... | |
| RowMatrix< double > | generator_ |
| The generator matrix | |
| bool | computeFreq_ |
| if the Frequencies must be computed from the generator More... | |
| RowMatrix< double > | exchangeability_ |
| The exchangeability matrix | |
| bool | eigenDecompose_ |
| Tell if the eigen decomposition should be performed. More... | |
| Vdouble | eigenValues_ |
| The vector of eigen values. More... | |
| Vdouble | iEigenValues_ |
| The vector of the imaginary part of the eigen values. More... | |
| bool | isDiagonalizable_ |
| boolean value for diagonalizability in R of the generator_ More... | |
| RowMatrix< double > | rightEigenVectors_ |
| The | |
| bool | isNonSingular_ |
| boolean value for non-singularity of rightEigenVectors_ More... | |
| RowMatrix< double > | leftEigenVectors_ |
| The | |
| std::vector< RowMatrix< double > > | vPowGen_ |
| vector of the powers of generator_ for Taylor development (if rightEigenVectors_ is singular). More... | |
| RowMatrix< double > | tmpMat_ |
| For computational issues. More... | |
| std::shared_ptr< const Alphabet > | alphabet_ |
| The alphabet relevant to this model. More... | |
| std::shared_ptr< const StateMapInterface > | stateMap_ |
| The map of model states with alphabet states. More... | |
| size_t | size_ |
| The number of states. More... | |
| double | rate_ |
| The rate of the model (default: 1). The generator (and all its vectorial components) is independent of the rate, since it should be normalized. More... | |
| Vdouble | freq_ |
| The vector | |
| RowMatrix< double > | pijt_ |
| These ones are for bookkeeping: More... | |
| RowMatrix< double > | dpijt_ |
| RowMatrix< double > | d2pijt_ |
| short | verboseLevel_ |
Private Attributes | |
| double | alpha_ |
| double | beta_ |
| double | gamma_ |
| double | kappa_ |
| double | theta_ |
| Eigen::VectorXd | lik_ |
| ParameterList | independentParameters_ |
| std::map< std::string, std::shared_ptr< AliasParameterListener > > | aliasListenersRegister_ |
| ParameterList | parameters_ |
| std::string | prefix_ |
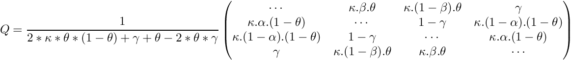
The no-strand bias substitution model for nucleotides, from Lobry 1995. The point of this model is that the substitution rate from a nucleotide N towards another M is the same as the rate from the complement of N towards the complement of M. Note that this model is not reversible.
After normalization, this model contains 5 parameters:
The equilibrium frequencies are
and then
.
The generator of this model is diagonalized numerically. See AbstractSubstitutionModel for details of how the probabilities are computed.
The parameters are named "alpha", "beta", "gamma", "kappa" and "theta". The values of "alpha", "beta", "gamma" are between 0 and 1, The values of "gamma" are between 0 and 1 excluded, the values of "kappa" which are positive. Their values may be retrieved with the command:
for instance.
Reference:
| L95::L95 | ( | std::shared_ptr< const NucleicAlphabet > | alphabet, |
| double | alpha = 0.5, |
||
| double | beta = 0.5, |
||
| double | gamma = 0.5, |
||
| double | kappa = 1., |
||
| double | theta = 0.5 |
||
| ) |
Definition at line 18 of file L95.cpp.
References bpp::AbstractParameterAliasable::addParameter_(), bpp::AbstractSubstitutionModel::computeFrequencies(), bpp::NumConstants::MILLI(), bpp::Parameter::PROP_CONSTRAINT_IN, and updateMatrices_().
Referenced by clone().
|
overridevirtualinherited |
add a "rate" parameter to the model, that handles the overall rate of the process.
Implements bpp::BranchModelInterface.
Reimplemented in bpp::RegisterRatesSubstitutionModel.
Definition at line 63 of file AbstractSubstitutionModel.cpp.
References bpp::AbstractParameterAliasable::addParameter_(), bpp::AbstractParameterAliasable::getNamespace(), bpp::Parameter::R_PLUS_STAR, and bpp::AbstractTransitionModel::rate_.
|
inlineoverridevirtualinherited |
Implements bpp::BranchModelInterface.
Reimplemented in bpp::RegisterRatesSubstitutionModel.
Definition at line 167 of file AbstractSubstitutionModel.h.
References bpp::AbstractTransitionModel::alphabet_.
Referenced by bpp::AbstractWordSubstitutionModel::AbstractWordSubstitutionModel(), and bpp::AbstractWordSubstitutionModel::operator=().
|
inlineoverridevirtual |
Implements bpp::AbstractNucleotideSubstitutionModel.
Definition at line 74 of file L95.h.
References L95().
|
inlinevirtualinherited |
Reimplemented from bpp::AbstractTransitionModel.
Definition at line 404 of file AbstractSubstitutionModel.h.
References bpp::AbstractSubstitutionModel::computeFreq_.
Referenced by bpp::CodonAdHocSubstitutionModel::CodonAdHocSubstitutionModel(), bpp::CodonDistanceFrequenciesSubstitutionModel::CodonDistanceFrequenciesSubstitutionModel(), bpp::CodonDistancePhaseFrequenciesSubstitutionModel::CodonDistancePhaseFrequenciesSubstitutionModel(), bpp::CodonDistanceSubstitutionModel::CodonDistanceSubstitutionModel(), bpp::D1WalkSubstitutionModel::D1WalkSubstitutionModel(), bpp::F81::F81(), bpp::gBGC::gBGC(), bpp::KroneckerCodonDistanceFrequenciesSubstitutionModel::KroneckerCodonDistanceFrequenciesSubstitutionModel(), bpp::KroneckerCodonDistanceSubstitutionModel::KroneckerCodonDistanceSubstitutionModel(), L95(), bpp::POMO::POMO(), bpp::RN95::RN95(), bpp::RN95s::RN95s(), bpp::AbstractSubstitutionModel::updateMatrices_(), bpp::AbstractWordSubstitutionModel::updateMatrices_(), bpp::WordSubstitutionModel::WordSubstitutionModel(), and bpp::YpR::YpR().
|
inlinevirtualinherited |
Set if equilibrium frequencies should be computed.
Implements bpp::TransitionModelInterface.
Definition at line 406 of file AbstractSubstitutionModel.h.
References bpp::AbstractSubstitutionModel::computeFreq_.
|
inlineoverridevirtualinherited |
Implements bpp::TransitionModelInterface.
Definition at line 64 of file AbstractSubstitutionModel.h.
References bpp::TransitionModelInterface::getd2Pij_dt2(), and bpp::AbstractLkTransitionModel::lik_.
|
inlineoverridevirtualinherited |
Implements bpp::TransitionModelInterface.
Reimplemented in bpp::BinarySubstitutionModel, bpp::F84, bpp::HKY85, bpp::TwoParameterBinarySubstitutionModel, bpp::EquiprobableSubstitutionModel, bpp::F81, bpp::JCnuc, bpp::K80, bpp::T92, bpp::TN93, bpp::JCprot, and bpp::RE08.
Definition at line 199 of file AbstractSubstitutionModel.h.
References bpp::AbstractTransitionModel::getd2Pij_dt2().
Referenced by bpp::JCprot::d2Pij_dt2().
|
inlineoverridevirtualinherited |
Implements bpp::TransitionModelInterface.
Definition at line 47 of file AbstractSubstitutionModel.h.
References bpp::TransitionModelInterface::getdPij_dt(), and bpp::AbstractLkTransitionModel::lik_.
|
inlineoverridevirtualinherited |
Implements bpp::TransitionModelInterface.
Reimplemented in bpp::BinarySubstitutionModel, bpp::F84, bpp::HKY85, bpp::TwoParameterBinarySubstitutionModel, bpp::EquiprobableSubstitutionModel, bpp::F81, bpp::JCnuc, bpp::K80, bpp::T92, bpp::TN93, bpp::JCprot, and bpp::RE08.
Definition at line 198 of file AbstractSubstitutionModel.h.
References bpp::AbstractTransitionModel::getdPij_dt().
Referenced by bpp::JCprot::dPij_dt().
|
inlinevirtualinherited |
Tell if eigenValues and Vectors must be computed.
Implements bpp::SubstitutionModelInterface.
Definition at line 434 of file AbstractSubstitutionModel.h.
References bpp::AbstractSubstitutionModel::eigenDecompose_.
Referenced by bpp::AbstractCodonSubstitutionModel::AbstractCodonSubstitutionModel(), bpp::AbstractDFPSubstitutionModel::AbstractDFPSubstitutionModel(), bpp::AbstractKroneckerWordSubstitutionModel::AbstractKroneckerWordSubstitutionModel(), bpp::KroneckerWordSubstitutionModel::KroneckerWordSubstitutionModel(), bpp::AbstractSubstitutionModel::updateMatrices_(), bpp::AbstractWordSubstitutionModel::updateMatrices_(), bpp::gBGC::updateMatrices_(), and bpp::WordSubstitutionModel::WordSubstitutionModel().
|
inlinevirtualinherited |
Set if eigenValues and Vectors must be computed.
Implements bpp::SubstitutionModelInterface.
Definition at line 432 of file AbstractSubstitutionModel.h.
References bpp::AbstractSubstitutionModel::eigenDecompose_.
|
inlinevirtualinherited |
Implements bpp::SubstitutionModelInterface.
Definition at line 410 of file AbstractSubstitutionModel.h.
References bpp::AbstractSubstitutionModel::exchangeability_.
|
inlineoverridevirtualinherited |
Tells the model that a parameter value has changed.
This updates the matrices consequently.
Reimplemented from bpp::AbstractParameterAliasable.
Reimplemented in bpp::gBGC, bpp::CodonDistanceSubstitutionModel, bpp::CodonAdHocSubstitutionModel, bpp::CodonDistanceFrequenciesSubstitutionModel, bpp::CodonDistancePhaseFrequenciesSubstitutionModel, bpp::DFPDistanceFrequenciesSubstitutionModel, bpp::KroneckerCodonDistanceFrequenciesSubstitutionModel, bpp::KroneckerCodonDistanceSubstitutionModel, bpp::SENCA, bpp::AbstractDFPSubstitutionModel, bpp::CodonSameAARateSubstitutionModel, bpp::D1WalkSubstitutionModel, bpp::EquiprobableSubstitutionModel, bpp::YpR, bpp::POMO, bpp::DSO78, bpp::JCprot, bpp::JTT92, bpp::LG08, bpp::UserProteinSubstitutionModel, bpp::WAG01, bpp::RE08, and bpp::RegisterRatesSubstitutionModel.
Definition at line 217 of file AbstractSubstitutionModel.h.
References bpp::AbstractParameterAliasable::fireParameterChanged(), bpp::AbstractParameterAliasable::getNamespace(), bpp::ParameterList::getParameterValue(), bpp::ParameterList::hasParameter(), bpp::AbstractTransitionModel::rate_, bpp::ParameterList::size(), and bpp::AbstractTransitionModel::updateMatrices_().
Referenced by bpp::gBGC::fireParameterChanged(), bpp::CodonDistanceSubstitutionModel::fireParameterChanged(), bpp::CodonAdHocSubstitutionModel::fireParameterChanged(), bpp::CodonDistanceFrequenciesSubstitutionModel::fireParameterChanged(), bpp::CodonDistancePhaseFrequenciesSubstitutionModel::fireParameterChanged(), bpp::KroneckerCodonDistanceFrequenciesSubstitutionModel::fireParameterChanged(), bpp::KroneckerCodonDistanceSubstitutionModel::fireParameterChanged(), bpp::SENCA::fireParameterChanged(), bpp::D1WalkSubstitutionModel::fireParameterChanged(), bpp::EquiprobableSubstitutionModel::fireParameterChanged(), bpp::YpR::fireParameterChanged(), bpp::DSO78::fireParameterChanged(), bpp::JCprot::fireParameterChanged(), bpp::JTT92::fireParameterChanged(), bpp::LG08::fireParameterChanged(), bpp::UserProteinSubstitutionModel::fireParameterChanged(), and bpp::WAG01::fireParameterChanged().
|
inlineoverridevirtualinherited |
Implements bpp::TransitionModelInterface.
Definition at line 195 of file AbstractSubstitutionModel.h.
References bpp::AbstractTransitionModel::freq_.
Referenced by bpp::CodonSameAARateSubstitutionModel::compute_().
|
inlineoverridevirtualinherited |
| Exception | if no FrequenceSet is associated to this model. |
Implements bpp::BranchModelInterface.
Reimplemented in bpp::CodonDistancePhaseFrequenciesSubstitutionModel, bpp::CodonDistanceFrequenciesSubstitutionModel, bpp::D1WalkSubstitutionModel, bpp::EquiprobableSubstitutionModel, bpp::DSO78, bpp::JCprot, bpp::JTT92, bpp::LG08, bpp::UserProteinSubstitutionModel, bpp::WAG01, and bpp::RegisterRatesSubstitutionModel.
Definition at line 207 of file AbstractSubstitutionModel.h.
|
inlinevirtualinherited |
See Kosiol and Goldman (2005), Molecular Biology And Evolution 22(2) 193-9.
Implements bpp::SubstitutionModelInterface.
Definition at line 408 of file AbstractSubstitutionModel.h.
References bpp::AbstractSubstitutionModel::generator_.
Referenced by bpp::AbstractKroneckerWordSubstitutionModel::fillBasicGenerator_().
|
inlineoverridevirtualinherited |
Implements bpp::BranchModelInterface.
Reimplemented in bpp::RegisterRatesSubstitutionModel.
Definition at line 169 of file AbstractSubstitutionModel.h.
References bpp::AbstractTransitionModel::alphabet_.
Referenced by bpp::AbstractWordSubstitutionModel::AbstractWordSubstitutionModel(), bpp::WordSubstitutionModel::completeMatrices_(), and bpp::RE08::getInitValue().
|
inlineoverridevirtualinherited |
| index | The model state. |
Implements bpp::BranchModelInterface.
Reimplemented in bpp::RegisterRatesSubstitutionModel.
Definition at line 179 of file AbstractSubstitutionModel.h.
References bpp::AbstractTransitionModel::stateMap_.
|
inlineoverridevirtualinherited |
| index | The model state. |
Implements bpp::BranchModelInterface.
Reimplemented in bpp::RegisterRatesSubstitutionModel.
Definition at line 181 of file AbstractSubstitutionModel.h.
References bpp::AbstractTransitionModel::stateMap_.
Referenced by bpp::AbstractCodonSubstitutionModel::completeMatrices_(), and bpp::AbstractTransitionModel::getInitValue().
|
inlineoverridevirtualinherited |
Implements bpp::BranchModelInterface.
Reimplemented in bpp::RegisterRatesSubstitutionModel.
Definition at line 177 of file AbstractSubstitutionModel.h.
References bpp::AbstractTransitionModel::stateMap_.
Referenced by bpp::DFP07::DFP07(), bpp::YNGP_M3::YNGP_M3(), and bpp::YNGP_M8::YNGP_M8().
|
inlinevirtualinherited |
Implements bpp::SubstitutionModelInterface.
Definition at line 428 of file AbstractSubstitutionModel.h.
References bpp::AbstractSubstitutionModel::rightEigenVectors_.
|
virtualinherited |
Implements bpp::AbstractTransitionModel.
Reimplemented in bpp::BinarySubstitutionModel, bpp::F84, bpp::HKY85, bpp::TwoParameterBinarySubstitutionModel, bpp::EquiprobableSubstitutionModel, bpp::F81, bpp::JCnuc, bpp::K80, bpp::T92, bpp::TN93, bpp::JCprot, bpp::RE08, and bpp::WordSubstitutionModel.
Definition at line 557 of file AbstractSubstitutionModel.cpp.
References bpp::MatrixTools::add(), bpp::MatrixTools::copy(), bpp::AbstractTransitionModel::d2pijt_, bpp::AbstractSubstitutionModel::eigenValues_, bpp::VectorTools::exp(), bpp::numeric::exp(), bpp::MatrixTools::getId(), bpp::AbstractSubstitutionModel::iEigenValues_, bpp::AbstractSubstitutionModel::isDiagonalizable_, bpp::AbstractSubstitutionModel::isNonSingular_, bpp::AbstractSubstitutionModel::leftEigenVectors_, bpp::MatrixTools::mult(), bpp::AbstractTransitionModel::rate_, bpp::AbstractSubstitutionModel::rightEigenVectors_, bpp::MatrixTools::scale(), bpp::AbstractTransitionModel::size_, bpp::VectorTools::sqr(), bpp::NumTools::sqr(), bpp::AbstractSubstitutionModel::tmpMat_, and bpp::AbstractSubstitutionModel::vPowGen_.
Referenced by bpp::JCprot::getd2Pij_dt2().
|
virtualinherited |
Implements bpp::AbstractTransitionModel.
Reimplemented in bpp::BinarySubstitutionModel, bpp::F84, bpp::HKY85, bpp::TwoParameterBinarySubstitutionModel, bpp::EquiprobableSubstitutionModel, bpp::F81, bpp::JCnuc, bpp::K80, bpp::T92, bpp::TN93, bpp::JCprot, bpp::RE08, and bpp::WordSubstitutionModel.
Definition at line 486 of file AbstractSubstitutionModel.cpp.
References bpp::MatrixTools::add(), bpp::MatrixTools::copy(), bpp::AbstractTransitionModel::dpijt_, bpp::AbstractSubstitutionModel::eigenValues_, bpp::VectorTools::exp(), bpp::numeric::exp(), bpp::MatrixTools::getId(), bpp::AbstractSubstitutionModel::iEigenValues_, bpp::AbstractSubstitutionModel::isDiagonalizable_, bpp::AbstractSubstitutionModel::isNonSingular_, bpp::AbstractSubstitutionModel::leftEigenVectors_, bpp::MatrixTools::mult(), bpp::AbstractTransitionModel::rate_, bpp::AbstractSubstitutionModel::rightEigenVectors_, bpp::MatrixTools::scale(), bpp::AbstractTransitionModel::size_, bpp::AbstractSubstitutionModel::tmpMat_, and bpp::AbstractSubstitutionModel::vPowGen_.
Referenced by bpp::JCprot::getdPij_dt().
|
inlinevirtualinherited |
Implements bpp::SubstitutionModelInterface.
Definition at line 418 of file AbstractSubstitutionModel.h.
References bpp::AbstractSubstitutionModel::eigenValues_.
|
inlineoverridevirtualinherited |
Implements bpp::TransitionModelInterface.
Definition at line 187 of file AbstractSubstitutionModel.h.
References bpp::AbstractTransitionModel::freq_.
Referenced by bpp::SENCA::setFreq().
|
inlineoverrideprotectedvirtualinherited |
Implements bpp::TransitionModelInterface.
Definition at line 268 of file AbstractSubstitutionModel.h.
References bpp::AbstractTransitionModel::freq_.
Referenced by bpp::CodonDistanceFrequenciesSubstitutionModel::fireParameterChanged(), bpp::CodonDistancePhaseFrequenciesSubstitutionModel::fireParameterChanged(), bpp::CodonDistanceFrequenciesSubstitutionModel::setFreq(), bpp::CodonDistancePhaseFrequenciesSubstitutionModel::setFreq(), and bpp::DFPDistanceFrequenciesSubstitutionModel::setFreq().
|
inlinevirtualinherited |
Implements bpp::SubstitutionModelInterface.
Definition at line 420 of file AbstractSubstitutionModel.h.
References bpp::AbstractSubstitutionModel::iEigenValues_.
|
overridevirtualinherited |
This method is used to initialize likelihoods in recursions. It typically sends 1 if i = state, 0 otherwise, where i is one of the possible states of the alphabet allowed in the model and state is the observed state in the considered sequence/site.
| i | the index of the state in the model. |
| state | An observed state in the sequence/site. |
| IndexOutOfBoundsException | if array position is out of range. |
| BadIntException | if states are not allowed in the associated alphabet. |
Implements bpp::BranchModelInterface.
Reimplemented in bpp::RE08.
Definition at line 70 of file AbstractSubstitutionModel.cpp.
References bpp::AbstractTransitionModel::alphabet_, bpp::AbstractTransitionModel::getAlphabetStateAsInt(), and bpp::AbstractTransitionModel::size_.
|
inlineoverridevirtualinherited |
Get the state in the model corresponding to a particular state in the alphabet.
| code | The alphabet state to check. |
Implements bpp::BranchModelInterface.
Reimplemented in bpp::RegisterRatesSubstitutionModel.
Definition at line 185 of file AbstractSubstitutionModel.h.
References bpp::AbstractTransitionModel::stateMap_.
|
inlineoverridevirtualinherited |
Get the state in the model corresponding to a particular state in the alphabet.
| code | The alphabet state to check. |
Implements bpp::BranchModelInterface.
Reimplemented in bpp::RegisterRatesSubstitutionModel.
Definition at line 183 of file AbstractSubstitutionModel.h.
References bpp::AbstractTransitionModel::stateMap_.
|
inlineoverridevirtual |
|
inlineoverridevirtualinherited |
Implements bpp::NucleotideSubstitutionModelInterface.
Definition at line 66 of file NucleotideSubstitutionModel.h.
References bpp::AbstractTransitionModel::alphabet_.
|
inlineoverridevirtualinherited |
Get the number of states.
For most models, this equals the size of the alphabet.
Implements bpp::BranchModelInterface.
Reimplemented in bpp::BinarySubstitutionModel, bpp::TwoParameterBinarySubstitutionModel, bpp::DFPDistanceFrequenciesSubstitutionModel, bpp::gBGC, bpp::YpR, bpp::RE08Nucleotide, bpp::RE08Protein, bpp::RE08Codon, bpp::RegisterRatesSubstitutionModel, and bpp::AbstractDFPSubstitutionModel.
Definition at line 175 of file AbstractSubstitutionModel.h.
References bpp::AbstractTransitionModel::stateMap_.
Referenced by bpp::AbstractCodonSubstitutionModel::completeMatrices_(), bpp::AbstractKroneckerCodonSubstitutionModel::completeMatrices_(), bpp::AbstractKroneckerWordSubstitutionModel::fillBasicGenerator_(), bpp::AbstractWordSubstitutionModel::fillBasicGenerator_(), bpp::WordSubstitutionModel::getd2Pij_dt2(), bpp::AbstractMixedTransitionModel::getd2Pij_dt2(), bpp::WordSubstitutionModel::getdPij_dt(), bpp::AbstractMixedTransitionModel::getdPij_dt(), bpp::RE08Nucleotide::getNumberOfStates(), bpp::RE08Protein::getNumberOfStates(), bpp::RE08Codon::getNumberOfStates(), bpp::WordSubstitutionModel::getPij_t(), bpp::AbstractMixedTransitionModel::getPij_t(), bpp::AbstractWordSubstitutionModel::setFreq(), bpp::AbstractSubstitutionModel::updateMatrices_(), bpp::AbstractWordSubstitutionModel::updateMatrices_(), bpp::MixtureOfATransitionModel::updateMatrices_(), and bpp::MixtureOfTransitionModels::updateMatrices_().
|
virtualinherited |
Implements bpp::AbstractTransitionModel.
Reimplemented in bpp::BinarySubstitutionModel, bpp::F84, bpp::HKY85, bpp::TwoParameterBinarySubstitutionModel, bpp::EquiprobableSubstitutionModel, bpp::F81, bpp::JCnuc, bpp::K80, bpp::T92, bpp::TN93, bpp::JCprot, bpp::RE08, and bpp::WordSubstitutionModel.
Definition at line 395 of file AbstractSubstitutionModel.cpp.
References bpp::abs(), bpp::MatrixTools::add(), bpp::MatrixTools::copy(), bpp::AbstractSubstitutionModel::eigenValues_, bpp::VectorTools::exp(), bpp::numeric::exp(), bpp::MatrixTools::getId(), bpp::BranchModelInterface::getName(), bpp::AbstractSubstitutionModel::iEigenValues_, bpp::AbstractSubstitutionModel::isDiagonalizable_, bpp::AbstractSubstitutionModel::isNonSingular_, bpp::AbstractSubstitutionModel::leftEigenVectors_, bpp::MatrixTools::mult(), bpp::AbstractTransitionModel::pijt_, bpp::AbstractTransitionModel::rate_, bpp::AbstractSubstitutionModel::rightEigenVectors_, bpp::AbstractTransitionModel::size_, bpp::NumConstants::SMALL(), bpp::AbstractSubstitutionModel::tmpMat_, bpp::to_string(), and bpp::AbstractSubstitutionModel::vPowGen_.
Referenced by bpp::JCprot::getPij_t().
|
overridevirtualinherited |
The rate of the substitution process.
Implements bpp::BranchModelInterface.
Reimplemented in bpp::RegisterRatesSubstitutionModel.
Definition at line 45 of file AbstractSubstitutionModel.cpp.
References bpp::AbstractTransitionModel::rate_.
|
inlinevirtualinherited |
Implements bpp::SubstitutionModelInterface.
Definition at line 426 of file AbstractSubstitutionModel.h.
References bpp::AbstractSubstitutionModel::leftEigenVectors_.
|
virtualinherited |
return scale
Implements bpp::SubstitutionModelInterface.
Definition at line 632 of file AbstractSubstitutionModel.cpp.
References bpp::MatrixTools::diag(), bpp::AbstractTransitionModel::freq_, and bpp::AbstractSubstitutionModel::generator_.
Referenced by bpp::AbstractSubstitutionModel::normalize().
|
inlineoverridevirtualinherited |
Implements bpp::BranchModelInterface.
Reimplemented in bpp::RegisterRatesSubstitutionModel.
Definition at line 173 of file AbstractSubstitutionModel.h.
References bpp::AbstractTransitionModel::stateMap_.
Referenced by bpp::D1WalkSubstitutionModel::D1WalkSubstitutionModel(), and bpp::EquiprobableSubstitutionModel::EquiprobableSubstitutionModel().
|
inlinevirtualinherited |
Implements bpp::SubstitutionModelInterface.
Definition at line 422 of file AbstractSubstitutionModel.h.
References bpp::AbstractSubstitutionModel::isDiagonalizable_.
|
inlinevirtualinherited |
Implements bpp::SubstitutionModelInterface.
Definition at line 424 of file AbstractSubstitutionModel.h.
References bpp::AbstractSubstitutionModel::isNonSingular_.
|
inlinevirtualinherited |
returns if model is scalable
Implements bpp::SubstitutionModelInterface.
Definition at line 469 of file AbstractSubstitutionModel.h.
References bpp::AbstractSubstitutionModel::isScalable_.
Referenced by bpp::F84::updateMatrices_(), bpp::HKY85::updateMatrices_(), bpp::K80::updateMatrices_(), bpp::RN95::updateMatrices_(), bpp::RN95s::updateMatrices_(), bpp::T92::updateMatrices_(), bpp::TN93::updateMatrices_(), and bpp::YpR::updateMatrices_().
|
inlineoverridevirtualinherited |
This method is used to compute likelihoods in recursions. It computes the probability of a vector given a start state.
| values | An vector of states on the site. |
| t | the branch length |
Implements bpp::TransitionModelInterface.
Definition at line 30 of file AbstractSubstitutionModel.h.
References bpp::TransitionModelInterface::getPij_t(), and bpp::AbstractLkTransitionModel::lik_.
|
virtualinherited |
normalize the generator
Implements bpp::SubstitutionModelInterface.
Definition at line 673 of file AbstractSubstitutionModel.cpp.
References bpp::AbstractSubstitutionModel::getScale(), bpp::AbstractSubstitutionModel::isScalable_, and bpp::AbstractSubstitutionModel::setScale().
Referenced by bpp::AbstractSubstitutionModel::updateMatrices_(), bpp::AbstractWordSubstitutionModel::updateMatrices_(), bpp::AbstractReversibleSubstitutionModel::updateMatrices_(), and bpp::gBGC::updateMatrices_().
|
inlineoverridevirtualinherited |
Implements bpp::TransitionModelInterface.
Reimplemented in bpp::BinarySubstitutionModel, bpp::F84, bpp::HKY85, bpp::TwoParameterBinarySubstitutionModel, bpp::EquiprobableSubstitutionModel, bpp::F81, bpp::JCnuc, bpp::K80, bpp::T92, bpp::TN93, bpp::JCprot, and bpp::RE08.
Definition at line 197 of file AbstractSubstitutionModel.h.
References bpp::AbstractTransitionModel::getPij_t().
Referenced by bpp::JCprot::Pij_t().
|
inlinevirtualinherited |
A method for computing all necessary matrices.
Implements bpp::SubstitutionModelInterface.
Definition at line 430 of file AbstractSubstitutionModel.h.
References bpp::AbstractSubstitutionModel::generator_.
|
virtualinherited |
set the diagonal of the generator such that sum on each line equals 0.
Implements bpp::SubstitutionModelInterface.
Definition at line 654 of file AbstractSubstitutionModel.cpp.
References bpp::AbstractSubstitutionModel::generator_, RowMatrix< double >::getRow(), and bpp::AbstractTransitionModel::size_.
Referenced by bpp::CodonSameAARateSubstitutionModel::compute_(), bpp::AbstractWordSubstitutionModel::updateMatrices_(), bpp::AbstractReversibleSubstitutionModel::updateMatrices_(), bpp::AbstractDFPSubstitutionModel::updateMatrices_(), bpp::POMO::updateMatrices_(), and bpp::RegisterRatesSubstitutionModel::updateMatrices_().
|
overridevirtual |
This method is redefined to actualize the corresponding parameters theta too.
Reimplemented from bpp::AbstractTransitionModel.
Definition at line 78 of file L95.cpp.
References bpp::AbstractParameterAliasable::setParameterValue(), and updateMatrices_().
|
overridevirtualinherited |
Set equilibrium frequencies equal to the frequencies estimated from the data.
| data | The sequences to use. |
| pseudoCount | A quantity
|
Implements bpp::TransitionModelInterface.
Reimplemented in bpp::JCnuc, bpp::K80, bpp::Coala, bpp::DSO78, bpp::JCprot, bpp::JTT92, bpp::LG08, bpp::UserProteinSubstitutionModel, bpp::WAG01, and bpp::RE08.
Definition at line 88 of file AbstractSubstitutionModel.cpp.
References bpp::SequenceContainerTools::getFrequencies(), and bpp::AbstractTransitionModel::setFreq().
|
overridevirtualinherited |
Set the rate of the model (must be positive).
| rate | must be positive. |
Implements bpp::BranchModelInterface.
Reimplemented in bpp::AbstractMixedTransitionModel, and bpp::RegisterRatesSubstitutionModel.
Definition at line 52 of file AbstractSubstitutionModel.cpp.
References bpp::AbstractParameterAliasable::hasParameter(), bpp::AbstractTransitionModel::rate_, bpp::AbstractParameterAliasable::setParameterValue(), and bpp::TextTools::toString().
Referenced by bpp::AbstractMixedTransitionModel::setRate().
|
inlinevirtualinherited |
sets if model is scalable, ie scale can be changed. Default : true, set to false to avoid normalization for example.
Implements bpp::SubstitutionModelInterface.
Definition at line 461 of file AbstractSubstitutionModel.h.
References bpp::AbstractSubstitutionModel::isScalable_.
|
virtualinherited |
Multiplies the current generator by the given scale.
| scale | the scale by which the generator is multiplied. |
Implements bpp::SubstitutionModelInterface.
Definition at line 641 of file AbstractSubstitutionModel.cpp.
References bpp::AbstractSubstitutionModel::eigenValues_, bpp::AbstractSubstitutionModel::generator_, bpp::AbstractSubstitutionModel::iEigenValues_, bpp::AbstractSubstitutionModel::isScalable_, and bpp::MatrixTools::scale().
Referenced by bpp::AbstractSubstitutionModel::normalize(), bpp::AbstractSubstitutionModel::updateMatrices_(), bpp::F84::updateMatrices_(), bpp::HKY85::updateMatrices_(), bpp::gBGC::updateMatrices_(), bpp::K80::updateMatrices_(), updateMatrices_(), bpp::RN95::updateMatrices_(), bpp::RN95s::updateMatrices_(), bpp::T92::updateMatrices_(), bpp::TN93::updateMatrices_(), bpp::POMO::updateMatrices_(), and bpp::YpR::updateMatrices_().
|
inlineinherited |
Definition at line 239 of file AbstractSubstitutionModel.h.
References bpp::AbstractTransitionModel::verboseLevel_.
|
inlinevirtualinherited |
By definition Sij(i,j) = Sij(j,i).
Implements bpp::SubstitutionModelInterface.
Definition at line 416 of file AbstractSubstitutionModel.h.
References bpp::AbstractSubstitutionModel::exchangeability_.
|
inlineoverridevirtualinherited |
Implements bpp::BranchModelInterface.
Reimplemented in bpp::RegisterRatesSubstitutionModel.
Definition at line 171 of file AbstractSubstitutionModel.h.
References bpp::AbstractTransitionModel::stateMap_.
|
overrideprotectedvirtual |
Diagonalize the
matrix, and fill the eigenValues_, iEigenValues_, leftEigenVectors_ and rightEigenVectors_ matrices.
The generator_ matrix and freq_ vector must be initialized.
Eigen values and vectors are computed from the generator and assigned to the eigenValues_ for the real part, iEigenValues_ for the imaginary part, rightEigenVectors_ and leftEigenVectors_ variables. isDiagonalizable_ checks if the generator_ is diagonalizable in R.
The optional rate parameter is not taken into account in this method to prevent unnecessary computation.
!! Here there is no normalization of the generator.
Now check inversion and diagonalization
Reimplemented from bpp::AbstractSubstitutionModel.
Definition at line 40 of file L95.cpp.
References alpha_, beta_, bpp::AbstractTransitionModel::freq_, gamma_, bpp::AbstractSubstitutionModel::generator_, bpp::AbstractParameterAliasable::getParameterValue(), kappa_, bpp::AbstractSubstitutionModel::setScale(), theta_, and bpp::AbstractSubstitutionModel::updateMatrices_().
|
inlineinherited |
Definition at line 241 of file AbstractSubstitutionModel.h.
References bpp::AbstractTransitionModel::verboseLevel_.
|
private |
Definition at line 61 of file L95.h.
Referenced by updateMatrices_().
|
protectedinherited |
The alphabet relevant to this model.
Definition at line 121 of file AbstractSubstitutionModel.h.
Referenced by bpp::AbstractWordSubstitutionModel::AbstractWordSubstitutionModel(), bpp::AbstractTransitionModel::alphabet(), bpp::POMO::getAllelicAlphabet(), bpp::AbstractTransitionModel::getAlphabet(), bpp::AbstractTransitionModel::getInitValue(), bpp::RE08::getInitValue(), bpp::AbstractNucleotideSubstitutionModel::getNucleicAlphabet(), bpp::AbstractReversibleNucleotideSubstitutionModel::getNucleicAlphabet(), bpp::RE08Nucleotide::getNucleicAlphabet(), bpp::AbstractProteinSubstitutionModel::getProteicAlphabet(), bpp::AbstractReversibleProteinSubstitutionModel::getProteicAlphabet(), bpp::RE08Protein::getProteicAlphabet(), and bpp::AbstractWordSubstitutionModel::operator=().
|
private |
Definition at line 61 of file L95.h.
Referenced by updateMatrices_().
|
protectedinherited |
if the Frequencies must be computed from the generator
Definition at line 303 of file AbstractSubstitutionModel.h.
Referenced by bpp::AbstractReversibleSubstitutionModel::AbstractReversibleSubstitutionModel(), bpp::AbstractSubstitutionModel::computeFrequencies(), and bpp::AbstractSubstitutionModel::operator=().
|
mutableprotectedinherited |
Definition at line 150 of file AbstractSubstitutionModel.h.
Referenced by bpp::WordSubstitutionModel::getd2Pij_dt2(), bpp::AbstractSubstitutionModel::getd2Pij_dt2(), and bpp::AbstractMixedTransitionModel::getd2Pij_dt2().
|
mutableprotectedinherited |
Definition at line 149 of file AbstractSubstitutionModel.h.
Referenced by bpp::WordSubstitutionModel::getdPij_dt(), bpp::AbstractSubstitutionModel::getdPij_dt(), and bpp::AbstractMixedTransitionModel::getdPij_dt().
|
protectedinherited |
Tell if the eigen decomposition should be performed.
Definition at line 315 of file AbstractSubstitutionModel.h.
Referenced by bpp::AbstractSubstitutionModel::enableEigenDecomposition(), and bpp::AbstractSubstitutionModel::operator=().
|
protectedinherited |
The vector of eigen values.
Definition at line 320 of file AbstractSubstitutionModel.h.
Referenced by bpp::AbstractSubstitutionModel::getd2Pij_dt2(), bpp::AbstractSubstitutionModel::getdPij_dt(), bpp::AbstractSubstitutionModel::getEigenValues(), bpp::AbstractSubstitutionModel::getPij_t(), bpp::AbstractSubstitutionModel::operator=(), bpp::RE08::RE08(), bpp::AbstractSubstitutionModel::setScale(), bpp::AbstractSubstitutionModel::updateMatrices_(), bpp::BinarySubstitutionModel::updateMatrices_(), bpp::F84::updateMatrices_(), bpp::HKY85::updateMatrices_(), bpp::TwoParameterBinarySubstitutionModel::updateMatrices_(), bpp::EquiprobableSubstitutionModel::updateMatrices_(), bpp::F81::updateMatrices_(), bpp::gBGC::updateMatrices_(), bpp::JCnuc::updateMatrices_(), bpp::K80::updateMatrices_(), bpp::RN95::updateMatrices_(), bpp::RN95s::updateMatrices_(), bpp::T92::updateMatrices_(), bpp::TN93::updateMatrices_(), bpp::JCprot::updateMatrices_(), and bpp::YpR::updateMatrices_().
|
protectedinherited |
The exchangeability matrix
of the model, defined as
. When the model is reversible, this matrix is symmetric.
Definition at line 310 of file AbstractSubstitutionModel.h.
Referenced by bpp::Coala::Coala(), bpp::D1WalkSubstitutionModel::D1WalkSubstitutionModel(), bpp::LGL08_CAT::EmbeddedModel::EmbeddedModel(), bpp::AbstractSubstitutionModel::exchangeabilityMatrix(), bpp::AbstractSubstitutionModel::operator=(), bpp::RE08::RE08(), bpp::UserProteinSubstitutionModel::readFromFile(), bpp::Coala::readFromFile(), bpp::AbstractSubstitutionModel::Sij(), bpp::AbstractWordSubstitutionModel::updateMatrices_(), bpp::F84::updateMatrices_(), bpp::HKY85::updateMatrices_(), bpp::AbstractReversibleSubstitutionModel::updateMatrices_(), bpp::EquiprobableSubstitutionModel::updateMatrices_(), bpp::F81::updateMatrices_(), bpp::GTR::updateMatrices_(), bpp::JCnuc::updateMatrices_(), bpp::K80::updateMatrices_(), bpp::RN95::updateMatrices_(), bpp::RN95s::updateMatrices_(), bpp::SSR::updateMatrices_(), bpp::T92::updateMatrices_(), bpp::TN93::updateMatrices_(), bpp::JCprot::updateMatrices_(), bpp::RE08::updateMatrices_(), and bpp::YpR::updateMatrices_().
|
protectedinherited |
The vector
of equilibrium frequencies.
Definition at line 143 of file AbstractSubstitutionModel.h.
Referenced by bpp::AbstractReversibleSubstitutionModel::AbstractReversibleSubstitutionModel(), bpp::AbstractTransitionModel::AbstractTransitionModel(), bpp::WordSubstitutionModel::completeMatrices_(), bpp::Coala::computeEquilibriumFrequencies(), bpp::RE08::d2Pij_dt2(), bpp::RE08::dPij_dt(), bpp::DSO78::DSO78(), bpp::EquiprobableSubstitutionModel::EquiprobableSubstitutionModel(), bpp::EquiprobableSubstitutionModel::fireParameterChanged(), bpp::DSO78::fireParameterChanged(), bpp::JCprot::fireParameterChanged(), bpp::JTT92::fireParameterChanged(), bpp::LG08::fireParameterChanged(), bpp::UserProteinSubstitutionModel::fireParameterChanged(), bpp::WAG01::fireParameterChanged(), bpp::AbstractTransitionModel::freq(), bpp::RE08::getd2Pij_dt2(), bpp::RE08::getdPij_dt(), bpp::AbstractTransitionModel::getFrequencies(), bpp::AbstractTransitionModel::getFrequencies_(), bpp::RE08::getPij_t(), bpp::AbstractSubstitutionModel::getScale(), bpp::JCprot::JCprot(), bpp::JTT92::JTT92(), bpp::LG08::LG08(), bpp::RE08::Pij_t(), bpp::RE08::RE08(), bpp::UserProteinSubstitutionModel::readFromFile(), bpp::D1WalkSubstitutionModel::setFreq(), bpp::EquiprobableSubstitutionModel::setFreq(), bpp::AbstractTransitionModel::setFreq(), bpp::DSO78::setFreqFromData(), bpp::JCprot::setFreqFromData(), bpp::JTT92::setFreqFromData(), bpp::LG08::setFreqFromData(), bpp::UserProteinSubstitutionModel::setFreqFromData(), bpp::WAG01::setFreqFromData(), bpp::AbstractSubstitutionModel::updateMatrices_(), bpp::AbstractWordSubstitutionModel::updateMatrices_(), bpp::BinarySubstitutionModel::updateMatrices_(), bpp::F84::updateMatrices_(), bpp::HKY85::updateMatrices_(), bpp::TwoParameterBinarySubstitutionModel::updateMatrices_(), bpp::AbstractReversibleSubstitutionModel::updateMatrices_(), bpp::D1WalkSubstitutionModel::updateMatrices_(), bpp::EquiprobableSubstitutionModel::updateMatrices_(), bpp::MixtureOfATransitionModel::updateMatrices_(), bpp::MixtureOfTransitionModels::updateMatrices_(), bpp::F81::updateMatrices_(), bpp::gBGC::updateMatrices_(), bpp::GTR::updateMatrices_(), bpp::JCnuc::updateMatrices_(), bpp::K80::updateMatrices_(), updateMatrices_(), bpp::RN95::updateMatrices_(), bpp::RN95s::updateMatrices_(), bpp::SSR::updateMatrices_(), bpp::T92::updateMatrices_(), bpp::TN93::updateMatrices_(), bpp::POMO::updateMatrices_(), bpp::JCprot::updateMatrices_(), bpp::RE08::updateMatrices_(), bpp::YpR::updateMatrices_(), bpp::UserProteinSubstitutionModel::UserProteinSubstitutionModel(), and bpp::WAG01::WAG01().
|
private |
Definition at line 61 of file L95.h.
Referenced by updateMatrices_().
|
protectedinherited |
The generator matrix
of the model.
Definition at line 298 of file AbstractSubstitutionModel.h.
Referenced by bpp::AbstractCodonSubstitutionModel::completeMatrices_(), bpp::AbstractKroneckerCodonSubstitutionModel::completeMatrices_(), bpp::CodonSameAARateSubstitutionModel::compute_(), bpp::AbstractKroneckerWordSubstitutionModel::fillBasicGenerator_(), bpp::AbstractWordSubstitutionModel::fillBasicGenerator_(), bpp::AbstractSubstitutionModel::generator(), bpp::AbstractSubstitutionModel::getScale(), bpp::AbstractSubstitutionModel::operator=(), bpp::AbstractSubstitutionModel::Qij(), bpp::RE08::RE08(), bpp::AbstractSubstitutionModel::setDiagonal(), bpp::AnonymousSubstitutionModel::setGenerator(), bpp::AbstractSubstitutionModel::setScale(), bpp::AbstractSubstitutionModel::updateMatrices_(), bpp::AbstractWordSubstitutionModel::updateMatrices_(), bpp::BinarySubstitutionModel::updateMatrices_(), bpp::F84::updateMatrices_(), bpp::HKY85::updateMatrices_(), bpp::TwoParameterBinarySubstitutionModel::updateMatrices_(), bpp::AbstractReversibleSubstitutionModel::updateMatrices_(), bpp::AbstractDFPSubstitutionModel::updateMatrices_(), bpp::EquiprobableSubstitutionModel::updateMatrices_(), bpp::F81::updateMatrices_(), bpp::gBGC::updateMatrices_(), bpp::JCnuc::updateMatrices_(), bpp::K80::updateMatrices_(), updateMatrices_(), bpp::RN95::updateMatrices_(), bpp::RN95s::updateMatrices_(), bpp::T92::updateMatrices_(), bpp::TN93::updateMatrices_(), bpp::POMO::updateMatrices_(), bpp::JCprot::updateMatrices_(), bpp::RE08::updateMatrices_(), bpp::RegisterRatesSubstitutionModel::updateMatrices_(), and bpp::YpR::updateMatrices_().
|
protectedinherited |
The vector of the imaginary part of the eigen values.
Definition at line 325 of file AbstractSubstitutionModel.h.
Referenced by bpp::AbstractSubstitutionModel::getd2Pij_dt2(), bpp::AbstractSubstitutionModel::getdPij_dt(), bpp::AbstractSubstitutionModel::getIEigenValues(), bpp::AbstractSubstitutionModel::getPij_t(), bpp::AbstractSubstitutionModel::operator=(), bpp::AbstractSubstitutionModel::setScale(), bpp::AbstractSubstitutionModel::updateMatrices_(), bpp::gBGC::updateMatrices_(), and bpp::YpR::updateMatrices_().
|
protectedinherited |
boolean value for diagonalizability in R of the generator_
Definition at line 330 of file AbstractSubstitutionModel.h.
Referenced by bpp::AbstractReversibleSubstitutionModel::AbstractReversibleSubstitutionModel(), bpp::AbstractSubstitutionModel::getd2Pij_dt2(), bpp::AbstractSubstitutionModel::getdPij_dt(), bpp::AbstractSubstitutionModel::getPij_t(), bpp::AbstractSubstitutionModel::isDiagonalizable(), bpp::AbstractSubstitutionModel::operator=(), bpp::AbstractSubstitutionModel::updateMatrices_(), bpp::gBGC::updateMatrices_(), bpp::RN95::updateMatrices_(), bpp::RN95s::updateMatrices_(), and bpp::YpR::updateMatrices_().
|
protectedinherited |
boolean value for non-singularity of rightEigenVectors_
Definition at line 340 of file AbstractSubstitutionModel.h.
Referenced by bpp::AbstractReversibleSubstitutionModel::AbstractReversibleSubstitutionModel(), bpp::AbstractSubstitutionModel::getd2Pij_dt2(), bpp::AbstractSubstitutionModel::getdPij_dt(), bpp::AbstractSubstitutionModel::getPij_t(), bpp::AbstractSubstitutionModel::isNonSingular(), bpp::AbstractSubstitutionModel::operator=(), bpp::AbstractSubstitutionModel::updateMatrices_(), bpp::gBGC::updateMatrices_(), bpp::RN95::updateMatrices_(), bpp::RN95s::updateMatrices_(), and bpp::YpR::updateMatrices_().
|
protectedinherited |
If the model is scalable (ie generator can be normalized automatically).
Definition at line 293 of file AbstractSubstitutionModel.h.
Referenced by bpp::AbstractSubstitutionModel::isScalable(), bpp::AbstractSubstitutionModel::normalize(), bpp::AbstractSubstitutionModel::operator=(), bpp::RegisterRatesSubstitutionModel::RegisterRatesSubstitutionModel(), bpp::AbstractSubstitutionModel::setScalable(), and bpp::AbstractSubstitutionModel::setScale().
|
private |
Definition at line 61 of file L95.h.
Referenced by updateMatrices_().
|
protectedinherited |
The
matrix made of left eigen vectors (by row) if rightEigenVectors_ is non-singular.
Definition at line 346 of file AbstractSubstitutionModel.h.
Referenced by bpp::AbstractSubstitutionModel::getd2Pij_dt2(), bpp::AbstractSubstitutionModel::getdPij_dt(), bpp::AbstractSubstitutionModel::getPij_t(), bpp::AbstractSubstitutionModel::getRowLeftEigenVectors(), bpp::AbstractSubstitutionModel::operator=(), bpp::RE08::RE08(), bpp::AbstractSubstitutionModel::updateMatrices_(), bpp::BinarySubstitutionModel::updateMatrices_(), bpp::F84::updateMatrices_(), bpp::HKY85::updateMatrices_(), bpp::TwoParameterBinarySubstitutionModel::updateMatrices_(), bpp::EquiprobableSubstitutionModel::updateMatrices_(), bpp::F81::updateMatrices_(), bpp::gBGC::updateMatrices_(), bpp::JCnuc::updateMatrices_(), bpp::K80::updateMatrices_(), bpp::RN95::updateMatrices_(), bpp::RN95s::updateMatrices_(), bpp::T92::updateMatrices_(), bpp::TN93::updateMatrices_(), bpp::JCprot::updateMatrices_(), and bpp::YpR::updateMatrices_().
|
mutableprivateinherited |
Definition at line 23 of file AbstractSubstitutionModel.h.
Referenced by bpp::AbstractLkTransitionModel::d2Lik_dt2(), bpp::AbstractLkTransitionModel::dLik_dt(), and bpp::AbstractLkTransitionModel::Lik_t().
|
mutableprotectedinherited |
These ones are for bookkeeping:
Definition at line 148 of file AbstractSubstitutionModel.h.
Referenced by bpp::WordSubstitutionModel::getPij_t(), bpp::AbstractSubstitutionModel::getPij_t(), and bpp::AbstractMixedTransitionModel::getPij_t().
|
protectedinherited |
The rate of the model (default: 1). The generator (and all its vectorial components) is independent of the rate, since it should be normalized.
Definition at line 138 of file AbstractSubstitutionModel.h.
Referenced by bpp::AbstractTransitionModel::addRateParameter(), bpp::BinarySubstitutionModel::d2Pij_dt2(), bpp::F84::d2Pij_dt2(), bpp::HKY85::d2Pij_dt2(), bpp::TwoParameterBinarySubstitutionModel::d2Pij_dt2(), bpp::EquiprobableSubstitutionModel::d2Pij_dt2(), bpp::F81::d2Pij_dt2(), bpp::JCnuc::d2Pij_dt2(), bpp::K80::d2Pij_dt2(), bpp::T92::d2Pij_dt2(), bpp::TN93::d2Pij_dt2(), bpp::JCprot::d2Pij_dt2(), bpp::BinarySubstitutionModel::dPij_dt(), bpp::F84::dPij_dt(), bpp::HKY85::dPij_dt(), bpp::TwoParameterBinarySubstitutionModel::dPij_dt(), bpp::EquiprobableSubstitutionModel::dPij_dt(), bpp::F81::dPij_dt(), bpp::JCnuc::dPij_dt(), bpp::K80::dPij_dt(), bpp::T92::dPij_dt(), bpp::TN93::dPij_dt(), bpp::JCprot::dPij_dt(), bpp::AbstractTransitionModel::fireParameterChanged(), bpp::BinarySubstitutionModel::getd2Pij_dt2(), bpp::F84::getd2Pij_dt2(), bpp::HKY85::getd2Pij_dt2(), bpp::TwoParameterBinarySubstitutionModel::getd2Pij_dt2(), bpp::EquiprobableSubstitutionModel::getd2Pij_dt2(), bpp::F81::getd2Pij_dt2(), bpp::JCnuc::getd2Pij_dt2(), bpp::K80::getd2Pij_dt2(), bpp::T92::getd2Pij_dt2(), bpp::TN93::getd2Pij_dt2(), bpp::JCprot::getd2Pij_dt2(), bpp::WordSubstitutionModel::getd2Pij_dt2(), bpp::AbstractSubstitutionModel::getd2Pij_dt2(), bpp::BinarySubstitutionModel::getdPij_dt(), bpp::F84::getdPij_dt(), bpp::HKY85::getdPij_dt(), bpp::TwoParameterBinarySubstitutionModel::getdPij_dt(), bpp::EquiprobableSubstitutionModel::getdPij_dt(), bpp::F81::getdPij_dt(), bpp::JCnuc::getdPij_dt(), bpp::K80::getdPij_dt(), bpp::T92::getdPij_dt(), bpp::TN93::getdPij_dt(), bpp::JCprot::getdPij_dt(), bpp::WordSubstitutionModel::getdPij_dt(), bpp::AbstractSubstitutionModel::getdPij_dt(), bpp::BinarySubstitutionModel::getPij_t(), bpp::F84::getPij_t(), bpp::HKY85::getPij_t(), bpp::TwoParameterBinarySubstitutionModel::getPij_t(), bpp::EquiprobableSubstitutionModel::getPij_t(), bpp::F81::getPij_t(), bpp::JCnuc::getPij_t(), bpp::K80::getPij_t(), bpp::T92::getPij_t(), bpp::TN93::getPij_t(), bpp::JCprot::getPij_t(), bpp::WordSubstitutionModel::getPij_t(), bpp::AbstractSubstitutionModel::getPij_t(), bpp::AbstractTransitionModel::getRate(), bpp::AbstractMixedTransitionModel::normalizeVRates(), bpp::BinarySubstitutionModel::Pij_t(), bpp::F84::Pij_t(), bpp::HKY85::Pij_t(), bpp::TwoParameterBinarySubstitutionModel::Pij_t(), bpp::EquiprobableSubstitutionModel::Pij_t(), bpp::F81::Pij_t(), bpp::JCnuc::Pij_t(), bpp::K80::Pij_t(), bpp::T92::Pij_t(), bpp::TN93::Pij_t(), bpp::JCprot::Pij_t(), bpp::AbstractMixedTransitionModel::setRate(), bpp::AbstractTransitionModel::setRate(), bpp::BinarySubstitutionModel::updateMatrices_(), bpp::TwoParameterBinarySubstitutionModel::updateMatrices_(), and bpp::MixtureOfTransitionModels::updateMatrices_().
|
protectedinherited |
The
matrix made of right eigen vectors (by column).
Definition at line 335 of file AbstractSubstitutionModel.h.
Referenced by bpp::AbstractSubstitutionModel::getColumnRightEigenVectors(), bpp::AbstractSubstitutionModel::getd2Pij_dt2(), bpp::AbstractSubstitutionModel::getdPij_dt(), bpp::AbstractSubstitutionModel::getPij_t(), bpp::AbstractSubstitutionModel::operator=(), bpp::RE08::RE08(), bpp::AbstractSubstitutionModel::updateMatrices_(), bpp::BinarySubstitutionModel::updateMatrices_(), bpp::F84::updateMatrices_(), bpp::HKY85::updateMatrices_(), bpp::TwoParameterBinarySubstitutionModel::updateMatrices_(), bpp::EquiprobableSubstitutionModel::updateMatrices_(), bpp::F81::updateMatrices_(), bpp::gBGC::updateMatrices_(), bpp::JCnuc::updateMatrices_(), bpp::K80::updateMatrices_(), bpp::RN95::updateMatrices_(), bpp::RN95s::updateMatrices_(), bpp::T92::updateMatrices_(), bpp::TN93::updateMatrices_(), bpp::JCprot::updateMatrices_(), and bpp::YpR::updateMatrices_().
|
protectedinherited |
The number of states.
Definition at line 131 of file AbstractSubstitutionModel.h.
Referenced by bpp::AbstractReversibleSubstitutionModel::AbstractReversibleSubstitutionModel(), bpp::AbstractTransitionModel::AbstractTransitionModel(), bpp::D1WalkSubstitutionModel::D1WalkSubstitutionModel(), bpp::EquiprobableSubstitutionModel::d2Pij_dt2(), bpp::RE08::d2Pij_dt2(), bpp::EquiprobableSubstitutionModel::dPij_dt(), bpp::RE08::dPij_dt(), bpp::EquiprobableSubstitutionModel::getd2Pij_dt2(), bpp::JCnuc::getd2Pij_dt2(), bpp::JCprot::getd2Pij_dt2(), bpp::RE08::getd2Pij_dt2(), bpp::AbstractSubstitutionModel::getd2Pij_dt2(), bpp::EquiprobableSubstitutionModel::getdPij_dt(), bpp::JCnuc::getdPij_dt(), bpp::JCprot::getdPij_dt(), bpp::RE08::getdPij_dt(), bpp::AbstractSubstitutionModel::getdPij_dt(), bpp::AbstractTransitionModel::getInitValue(), bpp::RE08::getInitValue(), bpp::EquiprobableSubstitutionModel::getPij_t(), bpp::JCnuc::getPij_t(), bpp::JCprot::getPij_t(), bpp::RE08::getPij_t(), bpp::AbstractSubstitutionModel::getPij_t(), bpp::EquiprobableSubstitutionModel::Pij_t(), bpp::RE08::Pij_t(), bpp::RE08::RE08(), bpp::AbstractSubstitutionModel::setDiagonal(), bpp::T92::T92(), bpp::TN93::TN93(), bpp::AbstractWordSubstitutionModel::updateMatrices_(), bpp::EquiprobableSubstitutionModel::updateMatrices_(), bpp::RN95::updateMatrices_(), bpp::RN95s::updateMatrices_(), bpp::RE08::updateMatrices_(), and bpp::YpR::updateMatrices_().
|
protectedinherited |
The map of model states with alphabet states.
Definition at line 126 of file AbstractSubstitutionModel.h.
Referenced by bpp::AbstractWordSubstitutionModel::AbstractWordSubstitutionModel(), bpp::CodonSameAARateSubstitutionModel::compute_(), bpp::AbstractTransitionModel::getAlphabetStateAsChar(), bpp::AbstractTransitionModel::getAlphabetStateAsInt(), bpp::AbstractTransitionModel::getAlphabetStates(), bpp::AbstractTransitionModel::getModelStates(), bpp::AbstractTransitionModel::getNumberOfStates(), bpp::AbstractTransitionModel::getStateMap(), and bpp::AbstractTransitionModel::stateMap().
|
private |
Definition at line 61 of file L95.h.
Referenced by updateMatrices_().
|
mutableprotectedinherited |
For computational issues.
Definition at line 357 of file AbstractSubstitutionModel.h.
Referenced by bpp::AbstractSubstitutionModel::getd2Pij_dt2(), bpp::AbstractSubstitutionModel::getdPij_dt(), bpp::AbstractSubstitutionModel::getPij_t(), bpp::AbstractSubstitutionModel::operator=(), bpp::AbstractSubstitutionModel::updateMatrices_(), bpp::gBGC::updateMatrices_(), and bpp::YpR::updateMatrices_().
|
protectedinherited |
Definition at line 152 of file AbstractSubstitutionModel.h.
Referenced by bpp::AbstractTransitionModel::setVerboseLevel(), bpp::AbstractSubstitutionModel::updateMatrices_(), and bpp::AbstractTransitionModel::verboseLevel().
|
protectedinherited |
vector of the powers of generator_ for Taylor development (if rightEigenVectors_ is singular).
Definition at line 352 of file AbstractSubstitutionModel.h.
Referenced by bpp::AbstractSubstitutionModel::getd2Pij_dt2(), bpp::AbstractSubstitutionModel::getdPij_dt(), bpp::AbstractSubstitutionModel::getPij_t(), bpp::AbstractSubstitutionModel::operator=(), bpp::AbstractSubstitutionModel::updateMatrices_(), bpp::gBGC::updateMatrices_(), bpp::RN95::updateMatrices_(), bpp::RN95s::updateMatrices_(), and bpp::YpR::updateMatrices_().